來源:壹芯微 發布日期
2020-01-04 瀏覽:-無結場效應晶體管基礎知識分析
無結場效應晶體管(Junctionless Field Effect Transistor, JLT)是場效應晶體管的一種,由源極、漏極及中間的金屬-氧化物-半導體(Metal-Oxide-Semiconductor, MOS)電容結構構成。與傳統的金屬-氧化物-半導體場效應晶體管(Metal-Oxide-Semiconductor Field Effect Transistor, MOSFET)器件不同,源極、溝道及漏極的雜質摻雜類型相同,無PN結,屬于多數載流子導電器件。JLT利用柵極偏置電壓改變垂直于導電溝道的電場強度,使溝道內的多數載流子累計或者耗盡,從而調制溝道電導控制溝道電流。無結場效應晶體管(JLT)已被提出作為傳統MOSFET的替代品,以減輕傳統晶體管由于特征尺寸微縮所面臨的技術挑戰。

背景技術
當代所有集成電路芯片均由PN結或肖特基勢壘結構成,如結型場效應晶體管(Junction Field Effect Transistor, JFET)垂直溝道方向有一個PN結,金屬-氧化物-半導體場效應晶體管(MOSFET)平行溝道方向有兩個背靠背的PN結,高電子遷移率晶體管(High Electron Mobility Transistor, HEMT)垂直溝道方向有一個柵電極肖特基勢壘結,等等。
傳統的MOSFET由源極、漏極及中間的金屬-氧化物-半導體(MOS)電容結構構成,結構如圖1所示。MOSFET溝道的摻雜類型與源、漏極相反(如溝道為N型,源、漏極則為P型),因此源極、溝道和漏極之間構成兩個背靠背的PN結。柵極施以足夠大的電壓,產生垂直于溝道的電場,并在半導體溝道表面感應出少子電荷,半導體表面將由耗盡進入反型,形成反型溝道,即可允許電流通過,此時溝道導電類型與源、漏極相同。施加于柵極不同的電壓值,流過溝道的電流亦會受其控制而改變。

由于結型場效應晶體管器件柵氧化層與半導體溝道界面的不完整性,載流子受到散射,遷移率下降,可靠性降低。MOS器件遵循“摩爾定律”,特征尺寸持續按比例微縮,基于PN結的MOS場效應晶體管器件弊端越來越明顯:源漏距離不斷縮短,產生短溝道效應,柵控能力變差,器件性能及可靠性嚴重退化;為防止源漏穿通,采用超陡摻雜濃度梯度,嚴重限制器件工藝熱預算。除此之外,由于摻雜原子的統計分布及一定溫度下摻雜原子易于擴散的自然屬性,納米尺度范圍內制作超陡PN結變得異常困難,晶體管閾值電壓下降,漏電嚴重。而金屬-半導體場效應晶體管(Metal-Semiconductor Field Effect Transistor, MESFET)或高電子遷移率晶體管(HEMT)熱穩定性較差,肖特基結柵電極漏電流較大,邏輯擺幅較小,抗噪聲能力較弱等。這些問題的存在嚴重制約著未來半導體制造業進一步、深層次的發展。
為克服結型場效應晶體管器件在納米尺度范圍所面臨的難以逾越的障礙,肖德元等人在2005年首次提出了一種全新結構及其制造方法-圓柱體全包圍柵無結場效應晶體管(Gate-All-Around-Cylindrical Junctionless Field Effect Transistor, GAAC JLT),它屬于多數載流子導電器件。從此半導體界興起了一股研究無結場效應晶體管的熱潮,每年的國際電子器件會議(IEDM)及IEEE雜志均有該器件的研究報道。
基本概念
無結場效應晶體管(JLT)是場效應晶體管的一種,由源極、漏極及中間的金屬-氧化物-半導體(MOS)電容構成。與傳統的MOSFET器件不同,源極、溝道及漏極雜質摻雜類型相同,無PN結,屬多數載流子導電器件。圖2描繪了這種簡化了的圓柱體全包圍柵無結場效應晶體管器件結構透視圖和沿溝道及垂直溝道方向器件剖面示意圖。 SOI襯底上晶體管有一個圓柱體單晶硅溝道,其摻雜類型與源、漏區相同,如圖2(c)所示。采用低壓化學氣相沉積或原子層沉積技術生長柵氧化層, 將整個溝道包裹起來, 接著在其上沉積金屬及多晶硅柵, 導電溝道與金屬柵之間被柵氧化層隔離。溝道內的多數載流子在圓柱體溝道內而非表面由源極到達漏極。通過柵極偏置電壓使器件溝道內的多數載流子累計或者耗盡,可以調制溝道電導進而控制溝道電流。當柵極偏置電壓大到將圓柱體溝道靠近漏極某一截面處的載流子完全耗盡時,溝道電阻變成準無限大,器件處于關閉狀態。相較于傳統的MOS場效應晶體管,無結場效應晶體管無PN結,制備工藝簡單,性能優越,增強了器件的可靠性特別是抗熱載流子注入效應及噪聲容限。

器件模型
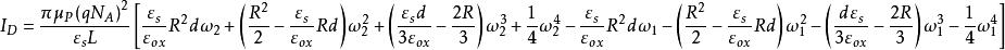
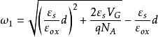
2009年,肖德元等人首次發表了圓柱體全包圍柵無結場效應晶體管(Gate-All-Around-Cylindrical Junctionless Field Effect Transistor, GAAC JLT)基于溝道全耗盡的緊湊型模型并推導出該器件的電流-電壓方程表達式。基于二維泊松方程、歐姆定律及部分常數近似,求得器件漏電流ID的表達式為:

其中


分別為源極與漏極的耗盡層深度。式中 μp為電子遷移率,εοx為絕緣體電容率,εs為半導體電容率,R為圓柱體溝道的半徑,L為圓柱體溝道長度,d為柵絕緣層厚度,Na為襯底溝道摻雜濃度,Vg、Vd分別為柵極與漏極的偏置電壓。
從器件電壓-電流方程式可看出,與工作于反型模式的傳統MOS晶體管器件不同,無結場效應晶體管器件的驅動電流與柵氧化層厚度不成反比例關系,減輕了MOSFET器件特征尺寸持續按比例縮小對柵氧化層厚度無休止的減薄要求。
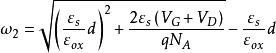
2012年,韓國科學院和三星電子公司的科學家在肖德元等人的無結圓柱體溝道場效應晶體管耗盡層近似器件模型基礎上,提出了完整的長溝道圓柱體全包圍柵無結場效應晶體管器件模型。該模型基于Pao-Sah積分并在器件全耗盡、部分耗盡及積累等所有工作區間,采用電勢拋物線近似,從而獲得電荷模型。
器件亞閾值區,漏極電流表達式可簡化為:

其中Vth為閾值電壓,Vt為熱電壓 KT/q,μ為載流子有效遷移率, L為器件溝道長度。
器件線性區(Vg-Vt>Vds ),漏極表達式可簡化為

其中Ceff為半耗盡區有效柵電容。
器件飽和區(Vg-Vth<Vds ),漏極電流表達式可簡化為

小Vds平帶情形,漏極電流表達式可進一步簡化為

這時器件相當于一個電阻( I=V/R),與柵氧化層的厚度無關。
器件飽和區平帶情形,漏極電流表達式可進一步簡化為

它與柵氧化層厚度d相關。
器件特點
無結場效應晶體管是電壓控制器件,不需較大信號功率。柵極偏置電壓可360度方向將圓柱體溝道內的載流子由表及里耗盡,大大增強了柵極對圓柱體溝道的控制能力,有效降低了器件的閾值電壓。由于避開了不完整的柵氧化層與半導體溝道界面,溝道內的多數載流子在圓柱體溝道體內而非表面由源極到達漏極,載流子受到界面散射影響有限,提高了載流子遷移率,噪聲較低。相比于傳統的反型溝道MOS場效應晶體管,無結場效應晶體管屬于多數載流子導電器件,沿溝道方向靠近漏極的電場強度較低,提高了器件性能及可靠性。該器件制作工藝簡單,與傳統平面CMOS技術兼容較好。
壹芯微科技針對二三極管,MOS管作出了良好的性能測試,應用各大領域,如果您有遇到什么需要幫助解決的,可以點擊右邊的工程師,或者點擊銷售經理給您精準的報價以及產品介紹
工廠地址:安徽省六安市金寨產業園區
深圳辦事處地址:深圳市福田區寶華大廈A1428
中山辦事處地址:中山市古鎮長安燈飾配件城C棟11卡
杭州辦事處:杭州市西湖區文三西路118號杭州電子商務大廈6層B座
電話:13534146615
企業QQ:2881579535

深圳市壹芯微科技有限公司 版權所有 | 備案號:粵ICP備2020121154號