來源:壹芯微 發布日期
2019-10-22 瀏覽:-三極管組成的基本組態放大電路可以分為三種,分別是共射放大電路、共基放大電路和共集放大電路。
共射放大電路
共射放大電路是低頻電路中很常用的一種,在記公式的時候有的書上又分為發射極加電阻和不加電阻,其實也可合為一個,因為如果發射極不加電阻,完全可以認為發射極上的電阻為零,先來看一下共射放大電路原理圖,看看長什么樣。

看起來是不是感覺很復雜,但是這里分析的時候可以分為兩個步驟,一個是交流電路的分析,一個是直流電路的分析,直流電路一般是用來求靜態工作點,因為在求放大倍數的時候有個參數和靜態工作點的選取有關,后面也會提到,我們想求的是放大倍數,所以應該用到交流通路。
對于上面那個實際電路交流分析并不是很利于理解,這里記公式的時候以下面這個電路為例。

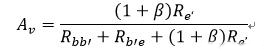
這個電路看起來是不是感覺舒服多了,其中T為三極管,Rs是信號源的內阻,Re是發射極上的電阻,R c是集電極上的電阻,R L是負載,畫出來交流通路(就是上面那張圖),如果想自己推導出來公式,可以把交流通路中的三極管改成三極管的小信號等效電路,其他元件對應位置不用動,這里就不推導了,直接給出來結果,發射極含有電阻的共射放大電路放大倍數公式為:

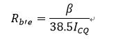
其中β為三極管放大倍數,R L'是R c與R L并聯后的等效電阻,Re就是發射極上的電阻,R b b'是由基極引線電阻和基區體電阻組成的,其值大約為幾十歐,R b b'和三極管本身有關與外電路無關,R b'e阻值很大,在千歐級別,因此R b b'可以忽略,不過R b'e和靜態工作點選取有關,也就是上面加黑的那句話,計算公式為:

β同樣為三極管的放大倍數,I c q是直流通路中流向集電極的電流,其和外電路有關,但是當電路確定后,I c q也是個定值了。
共基放大電路
共基放大電路輸入電阻很小,輸出電阻很大,而且頻率特性好,但是共基放大電路只有電壓放大能力,并沒有電流放大能力,直接看一下交流通路電路圖。

這個電路是不是看起來很怪,電流從發射極流入集電極流出的是共基極放大電路(看這個電流流向本身就感覺很怪,但是他確實就這樣),通過共射電路的介紹我相信大家應該對原理圖上的四個元件很熟悉了,我們直接來看一下這個電路的公式:

其實這個電壓放大倍數的大小是和共射放大電路發射極不接電阻時是一樣的,只不過二者相差一個負號,公式中每個字母代表的含義和共射極放大電路也是一樣的,也就是β表示三極管的放大倍數,R L'等于R c并上R L,R b b'是由基極引線電阻和基區體電阻組成的,R b'e的計算方法也和共射放大電路相同。
共集放大電路
共集放大電路的輸入電阻很大,輸出電阻很小,但是只有電流放大能力,沒有電壓放大能力,一般接近但小于1,共集放大電路的交流通路如下。

乍一看感覺和發射極沒電阻的共集放大電路很像,區別就是交流地的位置不一樣,自己可以對比一下,以便于區分。交流放大倍數的公式為:

從公式中也可以看出來電壓放大倍數是不可能大于1的,通常1+β很大,再加上后面乘上一個大電阻Re',所以,這個結果是接近于1的。這個公式中就一個Re'和上面兩種放大電路的公式不一樣,其值等于Re并上R L,其他字母所代表的含義和上面相同。
這三種基本組態放大電路真的很重要,當然這三個公式也需要記下來,在分析復雜的電路的時候可以直接套用公式,這樣計算起來就很方便,不但正確率高而且速度快。
壹芯微科技針對二三極管,MOS管作出了良好的性能測試,應用各大領域,如果您有遇到什么需要幫助解決的,可以點擊右邊的工程師,或者點擊銷售經理給您精準的報價以及產品介紹
工廠地址:安徽省六安市金寨產業園區
深圳辦事處地址:深圳市福田區寶華大廈A1428
中山辦事處地址:中山市古鎮長安燈飾配件城C棟11卡
杭州辦事處:杭州市西湖區文三西路118號杭州電子商務大廈6層B座
電話:13534146615
企業QQ:2881579535

深圳市壹芯微科技有限公司 版權所有 | 備案號:粵ICP備2020121154號