來源:壹芯微 發布日期
2021-05-13 瀏覽:-橋式整流電路計算公式及輸出電壓波形圖解析
橋式整流簡介
橋式整流器,英文 BRIDGE RECTIFIERS,也叫做整流橋堆,是利用二極管的單向導通性進行整流的最常用的電路,常用來將交流電轉變為直流電。
橋式整流電路圖
橋式整流電路如圖1所示,圖(a)、(b)、(c)是橋式整流電路的三種不同畫法。由電源變壓器、四只整流二極管D1~4和負載電阻RL組成。四只整流二極管接成電橋形式,故稱橋式整流。

橋式整流電路計算公式
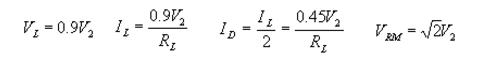
橋式整流屬于全波整流,它不是利用 副邊帶有中心抽頭的變壓器,用四個二極管接成電橋形式,使在電壓V2的正負半周均有電流流過負載,在負載形成單方向的全波脈動電壓。

橋式整流電路計算主要參數:

單相全波整流電路圖
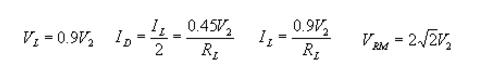
利用副邊有中心抽頭的變壓器和兩個二極管構成如下圖所示的全波整流電路。從圖中可見正負半周都有電流流過負載,提高了整流效率。

全波整流的特點:
輸出電壓VO高;脈動??;正負半周都有電流供給負載,因而變壓器得到充分利用 ,效率較高。 主要參數:

橋式整流電路電感濾波原理
電感濾波電路利用電感器兩端的電流不能突變的特點,把電感器與負載串聯起來,以達到使輸出電流平滑的目的。從能量的觀點看,當電源提供的電流增大(由電源電壓增加引起)時,電感器L把能量存儲起來;而當電流減小時,又把能量釋放出來,使負載電流平滑,電感L有平波作用。

橋式整流電路電感濾波優點: 整流二極管的導電角大,峰值電流小,輸出特性較平坦。
橋式整流電路電感濾波缺點: 存在鐵心,笨重、體積大,易引起電磁干擾,一般只適應于低電壓、大電流的場合。
例10.1.1橋式整流器濾波電路如圖所示,已知V1是220V交流電源,頻率為50Hz,要求直流電壓VL=30V,負載電流IL=50mA。試求電源變壓器副邊電壓v2的有效值,選擇整流二極管及濾波電容。


橋式整流電路電容濾波電路

圖10.5分別是單相橋式整流電路圖和整流濾波電路的部分波形。這里假設t《0時,電容器C已經充電到交流電壓V2的最大值(如波形圖所示)。
結論1:由于電容的儲能作用,使得輸出波形比較平滑,脈動成分降低輸出電壓的平均值增大。

結論2:從圖10.6可看出,濾波電路中二極管的導電角小于180o ,導電時間縮短。因此,在短暫的導電時間內流過二極管很大的沖擊電流,必須選擇較大容量的二極管。

壹芯微科技針對二三極管,MOS管作出了良好的性能測試,應用各大領域,如果您有遇到什么需要幫助解決的,可以點擊右邊的工程師,或者點擊銷售經理給您精準的報價以及產品介紹
工廠地址:安徽省六安市金寨產業園區
深圳辦事處地址:深圳市福田區寶華大廈A1428
中山辦事處地址:中山市古鎮長安燈飾配件城C棟11卡
杭州辦事處:杭州市西湖區文三西路118號杭州電子商務大廈6層B座
電話:13534146615
企業QQ:2881579535

深圳市壹芯微科技有限公司 版權所有 | 備案號:粵ICP備2020121154號