來源:壹芯微 發布日期
2019-11-29 瀏覽:-1、功率二極管的正向導通等效電路
等效電路

說明:
二極管正向導通時可用一電壓降等效,該電壓與溫度和所流過的電流有關,溫度升高,該電壓變小;電流增加,該電壓增加。詳細的關系曲線可從制造商的手冊中獲得。2、功率二極管的反向截止等效電路
等效電路!

說明:
二極管反向截止時可用一電容等效,其容量與所加的反向電壓、環境溫度等有關,大小可從制造商的手冊中獲得。3、功率二極管的穩態特性總結
功率二極管穩態時的電流/電壓曲線

說明:
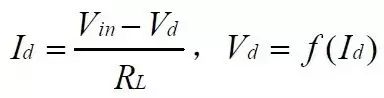
二極管正向導通時的穩態工作點:

當Vin >>Vd 時,有:

而Vd對于不同的二極管,其范圍為0.35V~2V。
二極管反向截止時的穩態工作點:Id≈0,Vd = -Vin
穩態特性總結:
是一單向導電器件(無正向阻斷能力);為不可控器件,由其兩斷電壓的極性控制通斷,無其它外部控制;普通二極管的功率容量很大,但頻率很低;
開關二極管有三種,其穩態特性和開關特性不同:-- 快恢復二極管;-- 超快恢復,軟恢復二極管;-- 蕭特基二極管(反向阻斷電壓降<<200V,無反向恢復問題);
器件的正向電流額定是用它的平均值來標稱的,只要實際的電流平均值沒有超過其額定值,保證散熱沒問題,則器件就是安全的;
器件的通態電壓呈負溫度系數,故不能直接并聯使用;目前的 SiC 功率二極管器件,其反向恢復特性非常好。4、功率二極管的開通和關斷過程原理
開通和關斷過程實驗電路

二極管兩端的電壓和流過的電流:

開關過程原理:
開通過程[ t1 ~ t2 ]:
在 t1 前,二極管工作于截止狀態,t1 時,理想開關關斷,二極管的電流開始上升,對反偏二極管的結電容充電,使二極管的電壓也開始上升,因PN 結耗盡區的工作機理(詳細見半導體物理),使電壓的上升比電流的上升要慢很多,電壓正偏后,還會有一個幾伏-幾十伏的正向電壓峰值,然后才進入穩定的正向導通狀態。
關斷過程[ t3 ~ t5 ]:
在 t3 前,二極管工作于導通狀態,t3 時,理想開關開通,二極管的電流開始下降,因為少子電荷在正向電流降為零時仍存在,故二極管的電壓仍維持正偏,為使其承受反向阻斷的能力,必需將這些少子電荷抽掉,t3-t4 是抽走反向電荷的階段,在t4時刻,二極管可開始反向阻斷,t4-t5則是對二極管結電容(耗盡區)進行充電的過程,直到二極管完全承受外部所加的反向電壓,進入穩定的反向截止狀態。
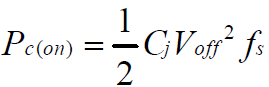
實際的開通過程較短,分析時一般可忽略。通常可只分析關斷過程,器件商會給出反向恢復時間和反向恢復電荷等參數。5、功率二極管的功率損耗公式
導通損耗:

容性開通損耗:

開關損耗:
開通損耗:通常可忽略。關斷損耗:無公式,但存在。
對于低電壓輸出的開關電源,二極管的最大損耗是導通損耗。6、功率二極管的選擇原則與步驟
選擇原則
1、根據電源規格,設計的工作頻率等,合理選擇:-- 高電壓應用,當選用快恢復和超快恢復二極管;-- 15V 以下電源中的輸出整流二極管應盡可能選蕭特基;
2、選擇時,如工作電流較大,則在相同的器件額定參數下,-- 應盡可能選擇正向導通電壓小的二極管;-- 應盡可能選擇反響恢復快或軟恢復的二極管;-- 應盡可能選擇蕭特基二極管。
選擇步驟
1、根據電源規格,計算所選變換器中二極管的穩態參數:-- 反向阻斷電壓最大值;-- 最大的正向電流平均值;
2、從器件商的DATASHEET 中選擇合適的二極管,可多選一些以便實驗時比較;
3、從所選的二極管的其它參數,如正向通態壓降,反向恢復時間等等,估算其工作時的最大損耗,與其它元器件的損耗一起,估算變換器的效率;
4、由實驗選擇最終的二極管器件。
壹芯微科技針對二三極管,MOS管作出了良好的性能測試,應用各大領域,如果您有遇到什么需要幫助解決的,可以點擊右邊的工程師,或者點擊銷售經理給您精準的報價以及產品介紹
工廠地址:安徽省六安市金寨產業園區
深圳辦事處地址:深圳市福田區寶華大廈A1428
中山辦事處地址:中山市古鎮長安燈飾配件城C棟11卡
杭州辦事處:杭州市西湖區文三西路118號杭州電子商務大廈6層B座
電話:13534146615
企業QQ:2881579535

深圳市壹芯微科技有限公司 版權所有 | 備案號:粵ICP備2020121154號