來源:壹芯微 發布日期
2020-08-25 瀏覽:-基于高速IGBT的100kHz高壓-低壓DC/DC轉換器知識
本文分析了一種基于高速IGBT的軟開關移相全橋帶同步整流的DC/DC轉換器。移相全橋拓撲的軟開關技術是混合動力汽車和電動汽車高壓-低壓DC/DC轉換器的主流關鍵技術。業界早期使用MOSFET作為主功率單元,隨著該DC/DC轉換器的功率需求逐漸增大,基于MOSFET的設計系統效率急劇下降,已經不能滿足應用要求。本文采用高速IGBT和快速二極管功率模塊F4-50R07W1H3作為DC/DC轉換器核心主功率單元,采用無核傳感技術的驅動芯片1ED020I12FA2,使開關器件工作在100kHz的軟開關狀態下,用以評估替代超級結場效應管(Super-junction MOSFET)的可行性,為未來更大功率的DC/DC轉換器提供基礎解決方案。實驗表明,在220V到400V的寬范圍內,輸出14V 145A的全范圍效率均可達90%以上,證明第三代高速IGBT是這個未來市場的主流方案之一。
緒論
DC/DC變換器是電動汽車、混動汽車等新能源汽車中不可或缺的輔助性電子設備,它取代了傳統汽車原有的發動機通過皮帶帶動的發電機,給車輛電壓12V網絡供電。實現了車輛推進系統和輔助供電系統的分離。為提高整車系統效率提供了便利條件。它的輸入是高壓儲能動力電池系統,輸出是低壓12伏電源網絡,因此叫做高壓-低壓DC/DC變換器(HV-LV DC/DC Converter),見圖1。該DC/DC變換器通常功率為1~3kW。

圖1:電動汽車電子系統示意圖
零電壓開關的移相全橋是這一應用的通用拓撲。這一拓撲結構見圖2,其優點是通過移相調制利用系統寄生參數(變壓器漏感Lleak和開關器件輸出電容Coss),而且這一軟開關拓撲工作在定頻的開關頻率下,非常有利于器件寄生參數選取。

圖2:用于高壓到低壓DC/DC轉換器的移相全橋同步整流拓撲圖
典型的用于電動汽車與混合動力汽車的移相全橋轉換器要求如下:高壓輸入來自于高壓電池組,電壓大約200V到400V;輸出部分連接低壓電池和弱電負載,電壓14V左右。表1給出該DC/DC轉換器的典型指標。基于100kHz的開關頻率和輸入電壓范圍指標,目前這個應用的多數開關器件都是超級結場效應管(Super-junction MOSFET) 。IGBT原本多用于1kHz到20kHz的開關頻率應用。隨著結構的改進,開關損耗降低,高速IGBT逐漸在更高的開關頻率得以應用。本文根據這一前沿趨勢,研究這種改進的高速IGBT在高壓到低壓DC/DC中的100kHz開關應用。

高頻開關工作的IGBT技術
超級結技術的MOSFET基于電荷補償原理,早在1998年就進入市場,在600V耐壓級別的應用范圍里形成一場革命。其最重要的優點是它在寄生二極管的有源層中采用了垂直PN細條的三維結構,它能維持相同的阻斷電壓,但是由于減小了垂直PN條的寬度,導通電阻得以成比例的減小。采用這個方法,單位面積導通電阻可降低5-10倍。在超級結技術產生之前,在600V耐壓級別應用領域不可避免地會使用具有優良導通損耗的IGBT。而限于IGBT特有的拖尾電流和由此導致的開關損耗,開關頻率始終在20kHz以下。兩種當時主流的IGBT(PT和NPT)都存在這種拖尾電流。
改變這一現象的標志性技術進步由溝槽柵場終止結構IGBT和軟穿通結IGBT(ABB制造)實現。溝槽柵場終止結構IGBT誕生于2000年,改進了IGBT的關斷拖尾電流波形。其后溝槽柵場終止結構IGBT基于不同的應用場合被進一步優化。優化的IGBT工作在20kHz到40kHz的開關頻率應用于電焊機、太陽能逆變器和UPS方面。英飛凌于2010年發布了為高頻硬開關優化的600V溝槽柵場終止結構IGBT,又在2012年發布了一系列用于不同應用領域的溝槽柵場終止結構IGBT。這些新型IGBT的誕生,為本文的100kHz開關移相全橋拓撲提供了基礎條件。
DCDC轉換器電路設計
該DC/DC轉換器采用英飛凌的650V 50A高速IGBT和快速二極管模塊Easy module 1B,具體電路形式見圖3,主要采用的電子元件見表2。

圖3:基于高速IGBT的高壓到低壓轉換器原型機

(1)主功率變壓器設計
主變壓器匝比,計算見公式(1),其中和MOSFET有區別的地方在于開關器件結壓降變成了IGBT的集電極到發射極壓降Vcesat。更高的匝比數可以降低原邊流過IGBT的電流有效值,但是另一方面,由于變壓器漏感引起的丟失占空比使得最低輸入電壓220V和額定輸出電壓13.8V的有效占空比應控制在85%以內,因此最后選擇匝數比為13:1:1。

為了正確選擇磁芯尺寸,保證變壓器不會飽和,應計算最大磁場密度 B,具體計算見公式(2)。其中Ae是磁芯截面積,n1是變壓器原邊匝數。λ是副邊的伏秒積。

計算伏秒積商務公式見(3)。

(2)同步整流電路設計
同步整流技術可以顯著提高副邊的整流效率,降低整流產生的損耗。常見的同步整流電路拓撲有三種,全橋整流,全波整流和倍流整流。倍流整流在這種應用中需要耐壓更高的開關器件,因此會產生更大的通態損耗,系統效率在86%左右,而全橋整流和全波整流都可以達到90%以上的效率。本設計選用了全波整流拓撲,如圖4所示。相比于全橋整流電路,變壓器副邊需要多一個中心抽頭,但是所用的半導體數量會減少一半。雖然半導體上的電壓應力因為副邊兩個繞組的關系需要耐壓更高,但是MOSFET數量的減少使兩種拓撲的損耗基本一致。仿真計算結果也支持了這一分析,而且全波整流在更高負載的效率也比全橋整流略有優勢。

圖4:全波同步整流及其濾波電路
輸出濾波電感的設計主要是滿足電流連續,因此計算公式見(4)。由公式可知,提高開關頻率有利于減小電感感值,也有利于較小電感尺寸。

(3)電流檢測變壓器設計
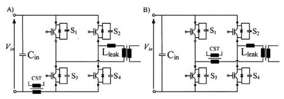
常見的電流傳感方案有采樣電阻、霍爾傳感器,電流檢測變壓器等等,電流檢測變壓器具有低成本和電氣隔離的特點,本設計采用了電流檢測變壓器來檢測電流信號。在拓撲中電流檢測傳感器有兩種檢測位置,如圖5所示。

圖5: 電流檢測傳感器(CST)的位置:(A)直線母流(B)主變壓器原邊
放置在直流母線側的電流檢測傳感器可以檢測上下臂直通短路,但是由于其負載是單向的,要避免短路時發生的磁飽和會比較困難,特別是要注意飽和點要超過主變壓器原邊的飽和點,否則無法檢測短路電流。如果電流檢測傳感器的設計在主變壓器的原邊,由于其工作在雙向模式,因此磁通密度提高了一倍。而無法檢測上下臂直通的缺點通過驅動芯片來彌補,設計采用的驅動芯片具有互鎖功能,有效防止上下臂直通短路。
測試驗證結果
在100kHz開關頻率下,進行了一系列的測試,以評估高速IGBT在此應用中的適應性和潛在優勢。本設計出于成本和空間的考慮,沒有采用外置的諧振電感,而是運用變壓器自身漏感來進行諧振。從基本性能來講同樣電壓電流的IGBT芯片面積只有MOSFET的六分之一,在小電流和低溫條件下MOSFET具有優勢。但是隨著工作結溫的提高的電流增大,IGBT的電流能力迅速提高,導通損耗比MOSFET明顯降低,如圖6所示。

圖6:高速IGBT與MOSFET的結壓降對比
(1)關斷損耗分析
如圖7所示高速IGBT在此拓撲中的關斷拖尾電流幾乎可以忽略,和傳統IGBT相比,其關斷損耗顯著減小。在結溫較高時,拖尾電流開始顯現,關斷損耗也開始增加。

圖7:不同溫度下的關斷波形以及關斷損耗對比
(2)開通損耗分析
如圖8所示,盡管大多數負載點可以實現軟關斷,但是在輕載時由于原邊電流較小,儲存在變壓器漏感的能量較小,不足以使滯后臂實現軟關斷。從整體效果來看,主工作區間良好實現了軟關斷,IGBT的極低的輸出電容特性使得整個系統在沒有外置諧振電感的情況下實現了主工作區間的軟關斷,系統損耗由此明顯降低,這也是由前文提到的IGBT芯片面積遠小于MOSFET所決定。

圖8:滯后臂開通波形
(3)效率測試與分析
經過前文對開通和關斷狀態的分析,進一步測試了整個系統的效率,效率的測試方法采用測量輸入電壓、輸入電流、輸出電壓、輸出電流并計算輸入功率和輸出功率的方法得到。輸入電壓采用電壓表測量,輸入電流采用高精度分流計測量,輸出電壓電流功率數據從電子負載中得到。最終測試結果顯示,在很寬的電壓輸入范圍里,系統都能超過90% 的效率。圖9展示了輸入電壓220V到400V,輸出電流20A到110A的系統效率曲線,其中系統效率較高的區域是電壓輸入較低的區域。最核心的負載段,即30%到70%的負載段是系統工作最典型的使用工況,也是本設計最重要的設計目標段,該段效率也達到了90%以上。

圖9:100KHz開關條件下的系統效率
結論
當代高速IGBT,對比傳統的溝槽柵場終止IGBT,在不增加集電極到發射極飽和壓降的情況下,拖尾電流和關斷損耗得到顯著改善,顯著地改善了溝槽柵。通過電路設計和實際測試,在這種軟開關式移相全橋DC/DC轉換器的應用中實現了替代超級結MOSFET的可能性,同時在功率較高的工況超越了超級結MOSFET的性能,同時芯片面積比MOSFET大幅縮小,因此芯片成本也會降低。
本設計采用13:1的匝比,配合移相全橋和全波同步整流的拓撲結構,以及無諧振電感特性,實現了220V到400V功率范圍,93%的最優效率,以及非常平緩的效率下降平臺,為高壓-低壓DC/DC變換器的設計提供了一種新的功率器件設計選擇方向。
壹芯微科技針對二三極管,MOS管作出了良好的性能測試,應用各大領域,如果您有遇到什么需要幫助解決的,可以點擊右邊的工程師,或者點擊銷售經理給您精準的報價以及產品介紹
工廠地址:安徽省六安市金寨產業園區
深圳辦事處地址:深圳市福田區寶華大廈A1428
中山辦事處地址:中山市古鎮長安燈飾配件城C棟11卡
杭州辦事處:杭州市西湖區文三西路118號杭州電子商務大廈6層B座
電話:13534146615
企業QQ:2881579535

深圳市壹芯微科技有限公司 版權所有 | 備案號:粵ICP備2020121154號