來源:壹芯微 發布日期
2020-01-02 瀏覽:-絕緣電阻測量方法與絕緣電阻表的選用
絕緣電阻用什么來測量
電氣設備的絕緣性能通常是通過測量其絕緣電阻的大小來判斷。為了保證人身安全和電氣設備運行的安全,對不同相導電體之間或導電體與設備外殼之間的絕緣電阻都有一個最低的要求。電力工程中,通過兆歐表來定量的測量絕緣電阻,以判斷是否出現絕緣問題,存在安全隱患。
絕緣電阻要求
室內低壓電氣線路中對絕緣電阻的要求是:相線對大地或對中性線之間不應小于0.22MΩ,相線與相線之間不應小于0.38 MΩ。
對家用電器則規定:基本絕緣電阻為2MΩ,加強絕緣電阻為7 MΩ。對低壓電機規定應不低于0.5 MΩ,對高壓電機規定每千伏工作電壓不低于1 MΩ。
總結:絕緣電阻越大越好。
兆歐表的結構
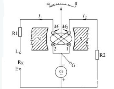
兆歐表是一種專門用來測量電氣設備絕緣電阻的便攜式儀表。一般的兆歐表主要由手搖直流發電機、磁電系比率表以及測量線路組成。

工作原理:將被測電阻RX接入端鈕“線路L”和“接地E”之間,這時手搖直流發電機手柄,電流將分為兩個回路流動:其中的電流I1從發電機正極→RX→R1→線圈1→發電機負極;電流I2從發電機正極→R2→線圈2→發電機負極。
由于線圈1和線圈2的繞向相反,故轉動力矩M1和反作用力矩M2的方向相反。當M1=M2時,

儀表可動部分的偏轉角α與兩個線圈內所通入電流的比值有關,而與測量電路中的電源電壓無關。因此,兆歐表的核心又稱為“磁電系流比表”。一旦儀表的結構確定時,則R1、R2均為定值,此時,儀表可動部分的偏轉角α只與被測電阻RX的大小有關。由于I2的大小一般不變,偏轉角α而隨被測絕緣電阻Rx的改變而變化,所以能直接反映被測絕緣電阻的數值。且兆歐表的標度尺為反向刻度。
絕緣電阻表的選用
選擇絕緣電阻表的電壓等級應按電氣設備電壓等級選用。如果絕緣電阻表電壓過高,可能會損壞被測設備的絕緣;如果電壓過低,測量數據不能真實反映其絕緣情況。
一、 電壓的選擇
電壓高的電力設備,對絕緣電阻值要求大一些,須使用電壓高的兆歐表來測試;而電壓低的電力設備,它內部所能承受的電壓不高,為了設備安全,測量絕緣電阻時就不能用電壓太高的兆歐表。在選用絕緣電阻表時,原則上必須保證絕緣電阻表的額定電壓與被測對象的額定電壓相適應。
應《電氣設備試驗標準》測量絕緣電阻時,采用絕緣電阻表的電壓等級如下表:

二、 阻值范圍的選擇
由于各種電氣設備、電力線路及裝置的工作電壓要求其耐壓強度的數值相差很大,所以對其絕緣電阻值的測量范圍要求大不相同。選擇合適阻值的量程范圍,能更好保證測量精度分析其絕緣情況。
三、 現場測量
高壓設備經長期運行后,表面將積聚大量油污灰塵物,影響其絕緣強度。線圈絕緣材料在惡劣的運行環境下,受溫度作用會導致絕緣材料的老化開裂線圈受潮。為了保障電力長期安全運行,定期測量絕緣電阻是很必要的
下面以DMG2672高壓數字絕緣電阻表演示如何測量

1.接線方法如上圖所示
2.開啟電源開關“ON/OFF”,選擇所需電壓等級
3.輕按一下高壓“啟停”鍵,高壓指示燈亮,LCD顯示的穩定數值即為被測的絕緣電阻值。當試品的絕緣電阻值超過儀表量程的上限值時。
絕緣電阻表使用注意事項
1)在使用絕緣電阻表測量前,先對其進行一次開路和短路試驗,以檢查絕緣電阻表是否良好。將絕緣電阻表平穩放置,先使“L”和“E”兩個端鈕開路,搖動手搖發電機的手柄,使發電機轉速達到額定轉速,這時指針應指向標尺的“∞”位置(有的絕緣電阻表上有“∞”調節器,可調節使指針指在“∞”位置);然后再將“L”和“E”兩個端鈕短接,緩慢搖動手柄,指針應指在“0”位。
2)測量前,應切斷被測設備的電源,并對被測設備進行充分的放電,保證被測設備不帶電。用絕緣電阻表測試過的電氣設備也要及時放電,以確保安全。
3)被測對象的表面應清潔、干燥,以減小測量誤差。
4)絕緣電阻表與被測設備間的連接線應用單根絕緣導線分開連接。兩根連接線不可纏繞在一起,也不可與被測設備或地面接觸,以避免導線絕緣不良而引起誤差。
5)測量時,搖動手柄的速度由慢逐漸加快,并保持在120r/min左右的轉速,測量1min左右,這時讀數才是準確的結果。如果被測設備短路,指針指零,應立即停止搖動手柄,以防表內線圈發熱而損壞儀表。
6)測量電解電容器的介質絕緣電阻時,應按電容器耐壓的高低選用絕緣電阻表,注意電容器的正極接“L”,負極接“E”,不可接反,否則會使電容器擊穿。
7)當絕緣電阻表沒有停止轉動和被測物沒有放電前,不可用手觸及被測物的測量部分,或進行拆除導線的工作。在測量大電容的電氣設備絕緣電阻時,在測定絕緣電阻后,應先將“L”連接線斷開,再降速松開手柄,以免被測設備向絕緣電阻表倒充電而損壞儀表。
8)測量前,還應掌握環境溫度及相對濕度,以便進行絕緣分析,當濕度較大時,應接屏蔽線。
9)禁止在有雷電時或鄰近高壓設備的地方使用絕緣電阻表,以免發生危險。
壹芯微科技針對二三極管,MOS管作出了良好的性能測試,應用各大領域,如果您有遇到什么需要幫助解決的,可以點擊右邊的工程師,或者點擊銷售經理給您精準的報價以及產品介紹
工廠地址:安徽省六安市金寨產業園區
深圳辦事處地址:深圳市福田區寶華大廈A1428
中山辦事處地址:中山市古鎮長安燈飾配件城C棟11卡
杭州辦事處:杭州市西湖區文三西路118號杭州電子商務大廈6層B座
電話:13534146615
企業QQ:2881579535

深圳市壹芯微科技有限公司 版權所有 | 備案號:粵ICP備2020121154號