來源:壹芯微 發布日期
2020-01-04 瀏覽:-電感元件基礎知識詳細分析
電感元件是一種儲能元件,電感元件的原始模型為導線繞成圓柱線圈。當線圈中通以電流i,在線圈中就會產生磁通量Φ,并儲存能量。表征電感元件(簡稱電感)產生磁通,存儲磁場的能力的參數,也叫電感,用L表示,它在數值上等于單位電流產生的磁鏈。電感元件是指電感器(電感線圈)和各種變壓器。

“電感元件”是“電路分析”學科中電路模型中除了電阻元件R,電容元件C以外的一個電路基本元件。在線性電路中,電感元件以電感量L表示。元件的“伏安關系”是線性電路分析中除了基爾霍夫定律以外的必要的約束條件。電感元件的伏安關系是 u=L(di/dt),也就是說,電感元件兩端的電壓,除了電感量L以外,與電阻元件R不同,它不是取決于電流i本身,而是取決于電流對時間的變化率(di/dt)。電流變化愈快,電感兩端的電壓愈大,反之則愈小。據此,在“穩態”情況下,當電流為直流時,電感兩端的電壓為零;當電流為正弦波時,電感兩端的電壓也是正弦波,但在相位上要超前電流(π/2);當電流為周期性等腰三角形波時,電壓為矩形波,如此等等。總的來說,電感兩端的電壓波形比電流變化得更快,含有更多的低頻成分。
通俗地說,穿過一個閉合導體回路的磁感線條數稱為磁通量。由于穿過閉合載流導體(很多情況是線圈)的磁場在其內部形成的磁通量變化,根據法拉第電磁感應定律,閉合導體將產生一個電動勢以“反抗”這種變化,即電磁感應現象。電感元件的電磁感應分為自感應和互感應,自身磁場在線圈內產生磁通量變化導致的電磁感應現象,稱為“自感應”現象;外部磁場在線圈里磁通量變化產生的電磁感應現象,稱為“互感應”現象。
比如,當電流以1安培/秒的變化速率穿過一個1亨利的電感元件,則引起1伏特的感應電動勢。當纏繞導體的導線匝數增多,導體的電感也會變大,不僅匝數,每匝(環路)面積,連纏繞材料都會影響電感大小。此外,用高滲透性材料纏繞導體也會令磁通量增加。
電感元件即利用這種感應的原理,在電路中發揮了許多作用。
儲存的能量
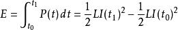
一個電感元件儲存的能量(單位:焦耳)等于流經它的電流建立磁場所做的功,其值由下式給出:

其中L為電感,I為流經電感的電流。
上述的關系僅適用在電流和磁通呈線性,尚未進入磁飽和的電感元件。
若針對電感元件,要計算在時間 到 之間,電感元件可以儲存的能量,可以用下式計算:

電感元件結構
電感可由電導材料盤繞磁芯制成,典型的如銅線,也可把磁芯去掉或者用鐵磁性材料代替。比空氣的磁導率高的芯材料可以把磁場更緊密的約束在電感元件周圍,因而增大了電感。
電感有很多種,大多以外層瓷釉線圈(enamel coated wire )環繞鐵素體(ferrite)線軸制成,而有些防護電感把線圈完全置于鐵素體內。一些電感元件的芯可以調節。由此可以改變電感大小。
小電感能直接蝕刻在PCB板上,用一種鋪設螺旋軌跡的方法。小值電感也可用以制造晶體管同樣的工藝制造在集成電路中 。在這些應用中,鋁互連線被經常用做傳導材料。不管用何種方法,基于實際的約束應用最多的還是一種叫做“旋轉子”的電路,它用一個電容和主動元件表現出與電感元件相同的特性。 用于隔高頻的電感元件經常用一根穿過磁柱或磁珠的金屬絲構成。
電子電路
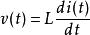
像電容元件反抗電壓的變化一樣,電感元件反抗電流的變化。一個理想電感元件應對直流電不呈電阻性,然而只有超導電感元件才會產生零電阻。
一般來說,隨時間變化的電壓v(t)與隨時間變化的電流i(t)在一個電感為L的電感元件上呈現的關系可以用微分方程來表示:

當有正弦交流電穿過電感元件時,會產生正弦電壓。電壓的幅度與電流的幅度( )與電流的頻率(f)的乘積成比例。



在這種情況下,電流與電壓的相位相差90度,(電流落后電壓)
拉普拉斯電路分析
當于電路分析中使用拉普拉斯變換,一個沒有初始電流的理想電感元件的阻抗能于s域被表述成:

L為電感
s為復頻率
如果電感元件沒有起始電流,那它可以被表述成:
附加一個電壓來源,以串聯形式與電感元件連接著,電壓來源的值為:

(請留意電壓來源應該有與初始電流相反的極性)
或是附加一個電流來源,以并聯形式與電感元件連接著,電流來源的值為:

L為電感, I0為電感元件的初始電流
電感元件網絡
主條目:串聯與并聯電路
并聯電路中的電感元件每個都有相同的電勢差。其總的等效電感(Leq):

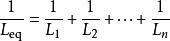
通過串聯電感的電流保持不變,但每個電感元件上的電壓可不同。其電壓之和等于總電壓。總電感:

這種簡單的關系只有在沒有磁場互耦(mutual coupling)的條件下才成立。
品質因數Q
一個理想的電感元件是不會因流經線圈的電流的大小而改變其敏感度。但是于實際環境下,線圈內的金屬線會令電感元件帶有繞組電阻。由于繞組電阻是以串聯著電感元件的電阻形式出現,所以亦被稱為串聯電阻。由于串聯電阻的存在,實際電感元件的特性會不同于理想電感,可以用品質因數表示電感和電阻之的比例。
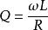
一個電感元件的品質因數(簡稱Q)是它處于某一特定頻率時,它的電感電抗和電阻之間的比例,這個比例是用來量度電感元件的有效程度。品質因數越高,電感元件的表現越相似現想中電感元件的表現。
電感元件的品質因數Q能由以下方程式可得,R是電感元件的內部電抗:

使用鐵磁性材料而其他部分不變的話,電感會上升,因此品質因數會被提高。但是若頻率上升時,鐵磁性材料的電感會降低,也就是電感是頻率的變數。所以于甚高頻(VHF)或更高頻的情況下,會傾向使用空氣核心。使用鐵磁性核心的電感元件可能會于大量電流流入時進入飽和狀態,引致電感及品質因數下降。使用空氣核心能避免這種現象。一個經良好設計的含空氣核心的電感元件能有高達幾百的品質因數。
一個近乎理想的電感元件(即近乎無限的的品質因數)可以由以下方法所制:將由超導合金所制的線圈浸入液態氦或液態氮中。這會令電線處于極低溫狀態,而繞組電阻會消失。因為超導電感元件的效能極近乎理想中的電感元件,它可以儲存大量電能于磁場內。
相同條件下內阻越大,品質因數越小。品質因數可以看做是衡量電感元件好壞的標準之一,品質因數越高通常意味著電感的質量越好。
應用
電感元件廣泛的應用在模擬電路與信號處理過程中。
電感元件與電容元件及其他一些器件結合可以形成調諧電路,可以放大或過濾一些特定的信號頻率。
大電感可用于電源的閥門(chokes),以前也經常與濾波器聯用用于去除直流輸出的冗余和波動成分。
磁珠或環繞電纜可產生小電感可阻止傳輸線中的射頻干擾。
小的電容/電感還可結合產生調諧電路用于無線電的收發。
兩個或多個電感元件之間有耦合磁通量可形成變壓器,變壓器是電力電源系統的基本組件。變壓器的效率隨著頻率的增加而減小,但高頻變壓器的體積也變的很小,這也是為什么一些飛行器用400赫茲交流電而不是通常的50或60赫茲,用小型變壓器而節省了大量的載重。
在開關式電源中,電感元件被做為儲能元件。電感元件隨著調整器的轉換頻率的特定部分而儲能,而在周期后半部分釋放能量。其能量轉換比決定了輸入輸出電壓比。 這個XL 用于補充主動半導體設備可用來精確控制電壓。
電感元件也被應用于電力傳輸系統,用來降低系統電壓或限制疵電流(fault current),這些通常被用于反應堆。相比其他元件電感元件要顯得大而重,所以在現代設備里以減少了其應用;固態開關電源去掉了大變壓器,電路轉為使用小的電感元件,而大值則由回轉器(gyrator) 電路模擬。
壹芯微科技針對二三極管,MOS管作出了良好的性能測試,應用各大領域,如果您有遇到什么需要幫助解決的,可以點擊右邊的工程師,或者點擊銷售經理給您精準的報價以及產品介紹
工廠地址:安徽省六安市金寨產業園區
深圳辦事處地址:深圳市福田區寶華大廈A1428
中山辦事處地址:中山市古鎮長安燈飾配件城C棟11卡
杭州辦事處:杭州市西湖區文三西路118號杭州電子商務大廈6層B座
電話:13534146615
企業QQ:2881579535

深圳市壹芯微科技有限公司 版權所有 | 備案號:粵ICP備2020121154號