來源:壹芯微 發布日期
2020-07-02 瀏覽:-電磁繼電器是否可能被可控硅-場效應管與三極管所替代
第一個概念:轉換深度和接通功耗
我們看下圖:

圖1:開關電器的轉換深度我們看到圖1左側的信號燈HL1是受到繼電器的觸點K控制的,而圖1的右側信號燈HL2則是受到晶閘管SR1/SCR2控制的。我們從圖1中看到,所謂轉換深度,其實就是開關電器的觸頭在斷開狀態下的等效電阻與接通狀態下的等效電阻之比。
那么有觸點(觸頭)電器的轉換深度與無觸點電器的轉換深度相比,相差多少呢?
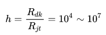
有觸點(觸頭)電器的轉換深度為:
;
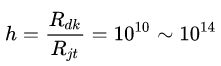
無觸點的電器的轉換深度為: 
兩者相差
倍。
第二個概念:接通功耗
轉換深度越低,電器的功耗就越大。所以,晶閘管、晶體管等器件的功耗大于觸點(觸頭)的功耗。
我們以二極管為例,當它正向導通時,它的壓降為0.6~0.7V,如果此時流過的工作電流是1A,我們簡單地把兩者相乘,得到的等效功耗是
。
對于普通的繼電器觸點,它接通時的電阻叫做接觸電阻,接觸電阻的公式是:
,這里的K是觸點材質,F是觸點壓力,m是接觸形式(點接觸、線接觸和面接觸)。
對于繼電器而言,它的觸點在接通時的接通電阻大約為15微歐,將它乘以1A,得到的觸點功耗僅為
。與二極管相比,相差40000倍!
第三個概念:開斷狀態下的絕緣電阻和隔離電阻
這個參數不用說了,半導體器件在斷開(截止)狀態下的隔離電阻當然遠遠小于有觸點(觸頭)的電器。
我們看下圖:

圖2:觸點的開距和超程圖2中的a圖下方,我們看到了一個專有名詞,叫做開距。開距與有觸點電器在打開狀態下的介電能力有關。開距確保了開關在打開狀態下動靜觸頭之間的電擊穿能力。這種能力,是遠遠高于無觸點電器的介電能力的。
結論:對于小電流的電路,例如半導體類ide弱電電路,無觸點元件(電器)具有無可比擬的優勢。但對于大電流和高電壓的電路,有觸點(觸頭)電器的位置很難被無觸點電器給取代。
當然,隨著技術的發展,也許終有一天我們能看到這種取代。真有那一天,開關電器的不管是體積還是成本,將會極大地降低,對我們來說,當然是大有益處的。
壹芯微科技針對二三極管,MOS管作出了良好的性能測試,應用各大領域,如果您有遇到什么需要幫助解決的,可以點擊右邊的工程師,或者點擊銷售經理給您精準的報價以及產品介紹
工廠地址:安徽省六安市金寨產業園區
深圳辦事處地址:深圳市福田區寶華大廈A1428
中山辦事處地址:中山市古鎮長安燈飾配件城C棟11卡
杭州辦事處:杭州市西湖區文三西路118號杭州電子商務大廈6層B座
電話:13534146615
企業QQ:2881579535

深圳市壹芯微科技有限公司 版權所有 | 備案號:粵ICP備2020121154號