來源:壹芯微 發布日期
2023-04-18 瀏覽:-MOSFET的夾斷效應介紹
MOSFET-Lec2,我們重點講了兩件事:
1、分析了自由電荷在溝道中的分布和行為,對后面理解其電路行為至關重要。
2、根據溝道中電荷的分布特點得出了I_D隨V_GS和V_DS的變化的公式,進而得到了伏安特性曲線。


Fig. 1
這個公式有沒有限制條件呢? 是不論V_GS和V_DS取任何值的時候都成立嗎? OK,請往下看
全文內容:
夾斷效應 pinch-off
重新修正我們的公式和V-I曲線
1、夾斷效應 pinch-off
如下圖Fig. 2,通過前兩期的分析我們知道當漏極(D)電壓高于源級(S)電壓時,溝道中的電流分布式不一樣的。
Fig. 2
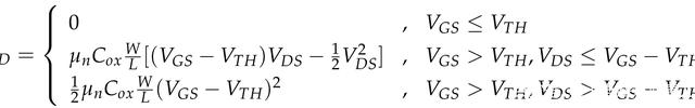
我們分三種情況討論這個事,前提是V_GS>V_TH,因為只有滿足這個條件時,溝道中才能有足夠多的自由電荷,才能形成電流,否則溝道相當于關閉狀態。
① V_GD>V_TH,此時溝道中的電荷分布為Fig. 3,此時溝道中的電流可以用紅色框框中的公式來表示,沒有問題。
Fig. 3
② V_GD=V_TH,此時溝道中的電荷分布為Fig.4,靠近漏極的溝道中電荷數量為0,溝道末端的電壓為V_D=V_G-V_TH,此時溝道中的電流也滿足紅色框框中的公式,而且I_D達到了公式中的最大值,即 Fig.1中的最高點。
Fig. 4
(3) V_GD
Fig. 5
此時溝道的末端V_L'不等于V_D,溝道中的電流也就不滿足紅色框框中的公式,還記得Lec 2中公式推導中的那個積分嗎? (不好意思,Lec 2中的積分公式寫錯了,更正如下)
由于溝道長度略微減小到L'和之前的長度L比,變化量可以忽略,左邊的積分上下限不變,但是右邊積分的上限不再是V_D,而是V_L'=V_G-V_TH,帶入積分公式得
從這個式子中可以看出,當V_GD 夾斷效應 。
2、重新修正我們的公式和V-I曲線
好,現在我們重新修正下公式,給出一個完整的公式:(因為通常用源級作為參考電壓,所以不用V_GD這種表達,V_GD=V_GS-V_DS,所以夾斷效應的條件就變成了 V_DS>V_GS-V_TH)
重新畫出I_D隨V_DS和V_GS的曲線為:


OK,MOSFET的結構和電學特性到此為止就介紹的差不多了。
壹芯微科技專注于“二,三極管、MOS(場效應管)、橋堆”研發、生產與銷售,20年行業經驗,擁有先進全自動化雙軌封裝生產線、高速檢測設備等,研發技術、芯片源自臺灣,專業生產流程管理及工程團隊,保障所生產每一批物料質量穩定和更長久的使用壽命,實現高度自動化生產,大幅降低人工成本,促進更好的性價比優勢!選擇壹芯微,還可為客戶提供參數選型替代,送樣測試,技術支持,售后服務等,如需了解更多詳情或最新報價,歡迎咨詢官網在線客服!
手機號/微信:13534146615
QQ:2881579535
工廠地址:安徽省六安市金寨產業園區
深圳辦事處地址:深圳市福田區寶華大廈A1428
中山辦事處地址:中山市古鎮長安燈飾配件城C棟11卡
杭州辦事處:杭州市西湖區文三西路118號杭州電子商務大廈6層B座
電話:13534146615
企業QQ:2881579535

深圳市壹芯微科技有限公司 版權所有 | 備案號:粵ICP備2020121154號