來源:壹芯微 發布日期
2017-07-08 瀏覽:-M7為貼片整流二極管,其封裝是DO-214AC(SMA),下面我們來介紹下具體的參數。
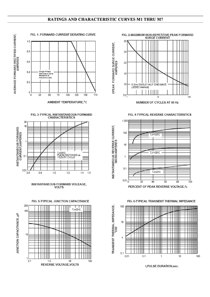
M7二極管參數:
最大重復峰值反向電壓:1000V
最大電壓有效值:700V
最大直流阻斷電壓:1000V
最大平均正向整流電流:1A
最大瞬間電壓:1.0A
最大直流反向電流=25℃:5.0μA(微安)
在額定直流阻斷電壓=100℃:50.0μA(微安)
操作結和存儲溫度范圍:-65 to +175℃
重量:0.003盎司0.093克
包裝:2000PCS/5000PCS
極性:顏色帶表示陰極端

規格書:


工廠地址:安徽省六安市金寨產業園區
深圳辦事處地址:深圳市福田區寶華大廈A1428
中山辦事處地址:中山市古鎮長安燈飾配件城C棟11卡
杭州辦事處:杭州市西湖區文三西路118號杭州電子商務大廈6層B座
電話:13534146615
企業QQ:2881579535

深圳市壹芯微科技有限公司 版權所有 | 備案號:粵ICP備2020121154號