來源:壹芯微 發布日期
2024-01-03 瀏覽:-IGBT如何并聯使用
IGBT的并聯使用
并聯使用IGBT組成開關器件可以使整個系統得到更高的額定電流,但是設計并聯系統時必須考慮一些重要問題,如模塊特性、驅動電路以及電路的布局,這些因素影響著并聯支路的電流分配,可能導致并聯的每個IGBT電流分配不均衡。其中,模塊特性中的伏安特性主要影響靜態運行時的電流分配,轉移特性和驅動電路以及布局主要影響動態運行時的電流分配。由于電流分配的不均衡,使n個IGBT并聯的額定電流并不等于n倍的單個模塊的額定電流,所以對并聯IGBT模塊必須降額使用。
在設計IGBT并聯系統時,首先要確定合適的并聯模塊數目以獲得足夠的額定電流,同時要保證每個模塊工作時不超出安全工作區。另外需要注意的是,并聯使用IGBT模塊有助于減小通態損耗,但是開關損耗不會減小,甚至可能增大,尤其在開關頻率比較高的時候。
(1)并聯運行靜態均流
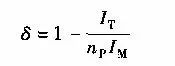
靜態情況下,并聯工作的IGBT間的電流分配主要受伏安特性的影響。當多個IGBT并聯時,由于制造工藝的原因,每個IGBT的伏安特性并不完全一樣。兩個IGBT并聯時伏安特性對電流分配的影響如圖所示。從圖可以看出,當兩個伏安特性不同的IGBT并聯工作時,它們通過的電流并不相等。為保證運行時每個模塊都不超過安全工作區,必須對并聯運行的IGBT進行降額使用。若兩個同型號但伏安特性不同的管子并聯使用,其總的額定電流不等于單個管子額定電流的兩倍,這種電流能力下降的系數可稱為電流降額系數。電流降額系數可表示為
式中,IT是并聯模塊能提供的總額定電流;IM是單個模塊的最大額定電流np是并聯模塊的數目。例如,兩個額定電流都為400A的IGBT模塊并聯,一個承受400A電流而另一個為320A,則可得到
另外,如果已經知道了降額系數,則可由下式求出所提供的總的額定電流
(2)并聯運行動態均流
動態情況下,并聯工作的IGBT間的電流分配主要受轉移特性、驅動電路的影響。
1)轉移特性對動態均流的影響:轉移特性不同的IGBT并聯時,開關過程的動態電流分配是不均衡的。圖給出了在相同的VGE驅動下,轉移特性不同的兩個IGBT動態電流不均衡的例子。從圖中可以看出,轉移特性陡峭的管子在開關時刻承受比較大的動態電流,因而也會有比較大的開關損耗,這種差異在關斷的時候更明顯。當開關頻率增大時,這種不平衡趨于緩和。選擇轉移特性接近的IGBT模塊進行并聯有利于動態均流。
2)驅動電路對動態均流的影響:驅動電路對并聯均流的影響也是顯而易見的,如果并聯工作的IGBT驅動電路不同步,則先驅動的IGBT要承擔大得多的動態電流。因此,并聯模塊的驅動一定要做到同步,最好選用驅動能力強的驅動器,用同一驅動信號同時驅動并聯模塊。
另外,驅動電路布局要盡量做到對稱,驅動電路到模塊的柵極、射極引線要盡量短,使回路的等效阻抗一致;主電路中的元器件布局和引線位置應對稱,引線長短一致,并盡量短,接線應采用截面積較大的銅排或扁條線;各模塊應平行放置,盡量靠近,引線盡量—致,減小回路中寄生電感的不平衡性。
壹芯微科技專注于“二,三極管、MOS(場效應管)、橋堆”研發、生產與銷售,21年行業經驗,擁有先進全自動化雙軌封裝生產線、高速檢測設備等,研發技術、芯片源自臺灣,專業生產流程管理及工程團隊,保障所生產每一批物料質量穩定和更長久的使用壽命,實現高度自動化生產,大幅降低人工成本,促進更好的性價比優勢!選擇壹芯微,還可為客戶提供參數選型替代,送樣測試,技術支持,售后服務等,如需了解更多詳情或最新報價,歡迎咨詢官網在線客服!
手機號/微信:13534146615
QQ:2881579535
工廠地址:安徽省六安市金寨產業園區
深圳辦事處地址:深圳市福田區寶華大廈A1428
中山辦事處地址:中山市古鎮長安燈飾配件城C棟11卡
杭州辦事處:杭州市西湖區文三西路118號杭州電子商務大廈6層B座
電話:13534146615
企業QQ:2881579535

深圳市壹芯微科技有限公司 版權所有 | 備案號:粵ICP備2020121154號