來源:壹芯微 發布日期
2020-08-21 瀏覽:-IGBT開關參數-雙脈沖測試波形詳情
一、IGBT開關參數定義
通過雙脈沖測試,可以得到IGBT的各項開關參數。

圖1 IGBT開關參數定義
如圖1所示,IGBT開關參數的定義如下:
開通延遲時間(td on):IGBT開通時,從柵極電壓為Vge的10%開始,到集電極電流上升至Ic的10%為止,這一段時間被定義為開通延遲時間。
開通上升時間(tr):IGBT開通時,從集電極電流上升至Ic的10%開始,到集電極電流上升至Ic的90%為止,這一段時間被定義為開通上升時間。
關斷延遲時間(td off):IGBT關斷時,從柵極電壓為Vge的90%開始,到集電極電流下降到Ic的90%為止,這一段時間被定義為關斷延遲時間。
關斷下降時間(tf):IGBT關斷時,集電極電流從Ic的90%下降到Ic的10%為止,這一段時間被定義為關斷下降時間。
開通損耗(Eon):IGBT在一個單脈沖開啟過程中內部耗散的能量。即
對時間的積分,積分時間自集電極電流上升至Ic的10%的時刻起,至集電極-發射極電壓下降至Vce的2%為止(不同廠商對該百分比有不同定義,這里參照英飛凌標準)。如圖1所示,具體計算公式如下:

關斷損耗(Eoff):IGBT在一個單脈沖中,關斷過程中內部耗散的能量。即
對時間的積分,積分時間自集電極-發射極電壓上升至Vce的10%的時刻起,至集電極電流下降至Ic的2%為止(不同廠商對該百分比有不同定義,這里參照英飛凌標準)。如圖1所示,具體計算公式如下:

二、雙脈沖測試波形分析
1、IGBT開通波形分析

圖2 IGBT開通波形 C1通道(黃線):Vce、 C2通道(紫線):Vge、 C3通道(藍線):Ic
如圖2所示為IGBT實測開通波形(二次開通時),需要關注的信息如下:
(1)Vce電壓變化情況
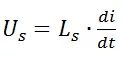
在IGBT正常開通波形中,當Ic開始上升時,Vce略有下降(如圖中橙線所示),下降到一定數值后保持不變,此時Vce的下降值由雜散電感Ls及di/dt決定,即

(可通過該方法計算線路的雜散電感大小);當Ic上升到最大值時,Vce開始迅速下降。
(2)二極管的反向恢復電流的di/dt
續流過程中di/dt由外部電路決定,反向恢復過程中的di/dt由二極管決定(詳細分析見下篇)。
(3)二極管的反向恢復電流的峰值
二極管反向恢復電流的峰值決定了Ic的尖峰值的大小。
(4)電流拖尾震蕩問題
觀察反向恢復后電流是否有震蕩,拖尾有多長。拖尾震蕩情況將影響IGBT的實際使用頻率。
2、IGBT關斷波形分析

圖3 IGBT關斷波形 C1通道(黃線):Vce、 C2通道(紫線):Vge、 C3通道(藍線):Ic
如圖3所示為IGBT實測關斷波形(第一次關斷時),需要關注的信息如下:
(1)關斷瞬間的電流值
實測過程中,通過對脈沖寬度的控制,使關斷瞬間的電流達到被測IGBT的標稱值,從而進行IGBT相關關斷參數的測量與計算。
(2)Vce的變化速率
關斷過程中dv/dt大小通常用于評估IGBT的性能,這個參數越大,說明能承受的增量越強。同時參數越大,IGBT器件應用時損耗越小,其能承受的工作頻率越高。
(3)Vce的峰值
Vce的電壓尖峰,是直流母線雜散電感Ls與di/dt的乘積,通過觀察這個尖峰,可以評估IGBT在關斷時的安全程度。Vce尖峰一般都客觀存在,在短路或者過載時,這個尖峰會達到最高值,比正常工作時要高得多,通常可以使用有源鉗位電路進行抑制。
壹芯微科技針對二三極管,MOS管作出了良好的性能測試,應用各大領域,如果您有遇到什么需要幫助解決的,可以點擊右邊的工程師,或者點擊銷售經理給您精準的報價以及產品介紹
工廠地址:安徽省六安市金寨產業園區
深圳辦事處地址:深圳市福田區寶華大廈A1428
中山辦事處地址:中山市古鎮長安燈飾配件城C棟11卡
杭州辦事處:杭州市西湖區文三西路118號杭州電子商務大廈6層B座
電話:13534146615
企業QQ:2881579535

深圳市壹芯微科技有限公司 版權所有 | 備案號:粵ICP備2020121154號