來源:壹芯微 發布日期
2023-04-17 瀏覽:-二極管的直流電阻與交流電阻介紹
二級管作為一種非線性器件,電阻值是不固定的,在不同的工作點有不同的電阻值,下面我們分別討論二極管的直流電阻和交流電阻。
1. 直流電阻
直流電阻(DC resistance)也叫靜態電阻(static resistance),概念比較簡單,就是根據歐姆定律,將二極管兩端的電壓除以流過二極管的電流,就可以得到二極管的直流電阻:
在下圖中,當二級管工作于A電和B點時,直流電阻值是不一樣的。
圖 1-4.01
當處于A點時,二極管VD=0.5 V,ID=1 mA,直流電阻計算可得:
當處于B點時,二極管VD=0.8 V,ID=8 mA,直流電阻計算可得:
可見,隨著二級管的工作電流越大,其直流電阻會變得越小。
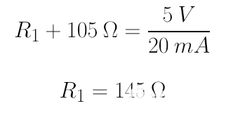
案例1-4-1:現在要設計某個點亮發光二極管的電路,如下左圖所示,已知電源電壓為5V,發光二極管的伏安曲線見下面右圖,請問串聯的電阻值R1應選取為多大?
解:我們先根據二極管的伏安曲線取一個比較合理的工作電流,如20mA,在圖中可以得到其對應的工作電壓為2.1V,則此時二極管的直流電阻為:
然后對這個電路整體應用歐姆定律,列出等式,可解得R1:
由于145Ω為非標電阻值,在E24系列標準電阻中,與它最接近的為150Ω,所以最終我們選取R1為150Ω的電阻。
這里要強調一下:在實際產品工程設計中,必須時刻要有產品思維(這個是也以前學校里解題時不會去考慮的)。你必須要考慮到你設計開發的產品的元器件供貨問題。如果買不到實際的元器件,或者你用到的元器件很難采購到,或者成本太高,那么你設計的產品再完美也是白搭,所以這里必須作出一點取舍。雖然用150Ω的電阻會使電路的總電阻增大,從而導致二級管的工作電流比原來預設的20mA要小一點,但這點小波動還是可以接受的。
如果你還是不放心,一定要搞清楚在R1為150Ω的情況下,二極管工作電流到底變化了多少,那就要稍微麻煩一點,用畫負載線的方法,來確定二極管實際的工作電流,具體方法我們下一小節講。
2. 負載線分析
負載線分析是一種圖解法,它的思路是這樣的:對于電路中的一些非線性器件,有時很難通過代數的方法得到其精確的描述公式。比如上面的二極管的伏安曲線,沒有公式可以精確描述其電壓和電流的關系。雖說理論上有肖克利方程可以用,但是前面說過,那個并不太準。
那怎么辦?只能另想辦法。好在,不管非線性器件的伏安曲線如何怪異,歐姆定律它是一定要遵守的。于是,我們可以先把非線性元器件想象成一個電阻值可以任意變化的可調電阻,如下圖所示:
圖 1-4.02
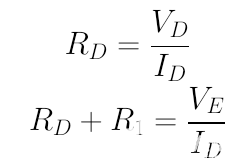
設可調電阻的的阻值為RD,其兩端電壓為VD,其電流為ID,則根據歐姆定律,可列出下面兩式:
上兩式中消去RD,可得到ID和VD的關系式:
上式中,VE和R1都是已知固定值(VE為5V,R1就按上例的解,為150Ω),因此可以畫出可調電阻RD的伏安曲線,如下圖所示:
圖 1-4.03
也就是說,不管可調電阻RD取什么值,它的ID和VD總歸在這條線段上。比如,當RD取0Ω時,此時VD=0V,ID算得為33.33mA,此時工作點即處于圖中的A點。當RD取∞時,此時相當于開路,ID=0mA,VD=5V,此時工作點即處于圖中的B點。當RD取其他任意阻值時,其工作點必定在在這條線段上A點和B點之間的某個點上。
再由于這個非線性器件是二極管,那么它的伏安特性也一定會遵守二極管規格書上的伏安特性曲線,所以,它的工作點也必定會處于下圖的伏安曲線上。
圖 1-4.04
把兩張圖重合拼在一起,它們的交點Q點,就是這個電路中,二極管的靜態工作點(quiescent point),因為交點Q同時滿足上面的圖1-4.03和圖1-4.04的伏安特性要求,見下圖所示:
圖 1-4.05
從上圖中可讀出,當R1取150Ω時,ID比20mA稍微小一點點,大概為19.5mA的樣子。圖解法一般并不能解出特別精確的值,但在一般產品設計中,圖解法主要是用于設計之初的大致規劃、或是最后用于驗證結果。只要與目標值差的不是太離譜,一般都可以接受。
當然,你也可以用電路仿真軟件去仿真,對于這個簡單電路應該是沒什么問題的。不過,對于新手來說,還是先靠手算和圖解法來培養直覺比較好,到你已經很熟練的情況下,再去用仿真來提高效率。
3. 交流電阻
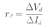
交流電阻(AC resistance)也叫動態電阻(dynamic resistance),通常用于小信號分析。動態的意思是指:在二極管靜態工作點Q點已經確定的情況下,此時當其兩端電壓在Q點附近微小變化ΔVd時,其電流也會發生微小的變化ΔId,動態電阻rd就定義為這個動態變化的電壓ΔVd與這個動態變化的電流ΔId的比值:
從下面這個圖中我們可以把這個定義看得更清楚,rd其實就是伏安曲線在Q點處的斜率。
圖 1-4.06
同直流電阻一樣,交流電阻也會隨著工作點的變化而變化。在上圖中,我們可以看出,在伏安曲線的不同點,斜率也是不一樣的。一般來說,二極管的交流電阻并不是很常用,交流電阻的重點應用領域是三極管放大電路,這個我們以后講三極管的時候再詳細講,在這里你只要理解交流電阻的概念就可以了。
你要問交流電阻怎么得到?有兩個方法:一個是用剛才的圖解法測量斜率;另一個是利用肖克利方程來求動態電阻。前面在1-3小節中我們雖然說過,肖克利方程的理論計算伏安曲線和實際二極管的伏安特性曲線有一定的差異,但在曲線斜率上它們是接近的,我們重畫前面的“圖1-3.02”如下:
圖 1-4.07
在圖中我們可以看到,對于兩條曲線雖然在位置上有差異,但在二極管電壓超過拐點后的電流快速上升部分,其斜率是比較接近的。如在上圖中當ID1=12mA時,兩條曲線在理論點和實際點的斜率是相似的,這就是說,當ID已知時,我們可以利用肖克利方程來計算二極管的動態電阻(補充說明一下,這兩點的VD相差還是比較大的,所以這兩個點的靜態電阻是很不同的)。
將前面的肖克利方程經過求導、代換、近似等一系列運算(具體怎么運算的可以不用管,反正人家已經幫你算好了),最后可以得到如下的公式:
也就是說,我們僅需要知道二極管靜態工作點的直流電流,就可以求出此工作點的動態電阻。
壹芯微科技專注于“二,三極管、MOS(場效應管)、橋堆”研發、生產與銷售,20年行業經驗,擁有先進全自動化雙軌封裝生產線、高速檢測設備等,研發技術、芯片源自臺灣,專業生產流程管理及工程團隊,保障所生產每一批物料質量穩定和更長久的使用壽命,實現高度自動化生產,大幅降低人工成本,促進更好的性價比優勢!選擇壹芯微,還可為客戶提供參數選型替代,送樣測試,技術支持,售后服務等,如需了解更多詳情或最新報價,歡迎咨詢官網在線客服!
手機號/微信:13534146615
QQ:2881579535
工廠地址:安徽省六安市金寨產業園區
深圳辦事處地址:深圳市福田區寶華大廈A1428
中山辦事處地址:中山市古鎮長安燈飾配件城C棟11卡
杭州辦事處:杭州市西湖區文三西路118號杭州電子商務大廈6層B座
電話:13534146615
企業QQ:2881579535

深圳市壹芯微科技有限公司 版權所有 | 備案號:粵ICP備2020121154號