來源:壹芯微 發布日期
2019-03-12 瀏覽:-壹芯微作為國內專業生產快恢復二極管的生產廠家,生產技術已經是非常的成熟,進口的測試儀器,可以很好的幫組到客戶朋友穩定好品質,也有專業的工程師在把控穩定質量,協助客戶朋友解決一直客戶自身解決不了的問題,每天會分析一些知識或者客戶的一些問題,來出來分享,今天我們分享的是,二極管的反向擊穿和穩態特性詳情,請看下方
當PiN二極管加反向偏壓時,空間電荷區中的空穴流向p+區,電子流向n+區。由于結的耗盡區主要向輕摻雜一區擴展,而p+區和n+區摻雜濃度極高,存在大量可以電離的施主與受主,所以耗盡層在p+區和n+區內增加的很少,耗盡區主要在n-區內形成,大大增加了基區的電阻,使P-i-N二極管在反偏壓下呈現很高的阻抗,可以承受很高的反向偏壓,二極管擊穿電壓主要是由pn結輕摻雜區的摻雜濃度決定的,圖1顯示了P-i-N二極管雜質分布以及高反壓情況下的電場分布。

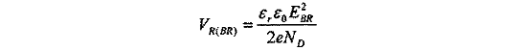
PiN二極管反編時擊穿電壓VBR主要是由結的低摻雜一側的雜質濃度決定。因為本征i區的寬度比空間電荷區的寬度要寬,p+n-結的擊穿電壓可以由式1來表示。
(1)
壹芯微科技針對快恢復二極管作出了良好的性能測試,應用各大領域,如果您有遇到什么需要幫助解決的,可以點擊右邊的工程師,或者點擊銷售經理給您精準的報價以及產品介紹
工廠地址:安徽省六安市金寨產業園區
深圳辦事處地址:深圳市福田區寶華大廈A1428
中山辦事處地址:中山市古鎮長安燈飾配件城C棟11卡
杭州辦事處:杭州市西湖區文三西路118號杭州電子商務大廈6層B座
電話:13534146615
企業QQ:2881579535

深圳市壹芯微科技有限公司 版權所有 | 備案號:粵ICP備2020121154號