來源:壹芯微 發布日期
2019-03-07 瀏覽:-壹芯微作為國內專業生產二極管的生產廠家,生產技術已經是非常的成熟,進口的測試儀器,可以很好的幫組到客戶朋友穩定好品質,也有專業的工程師在把控穩定質量,協助客戶朋友解決一直客戶自身解決不了的問題,每天會分析一些知識或者客戶的一些問題,來出來分享,今天我們分享的是,二極管的反向恢復時間和反向恢復電荷,請看下方
pin二極管作為開關器件,其開關速度是非常重要的,就是反向恢復時間要很快,這就要求正向導通積累在n-基區內的大量少數載流子在反向關斷時必須盡快抽出或復合掉,但是,電路對功率FRD的性能要求不只是速度。對FRD主要性能要求有四項:速度快(反向恢復時間trr和恢復電荷Qrr小)、反向泄漏電流IR小、正向壓降VF小和反向恢復軟度因子S大。trr、IR和VF分別標志了FRD在電路中處于每次開關過渡過程中、關斷狀態下和導通狀態下的自身功率損耗(以下簡稱為功耗)。三個參數中任何一個的數值增加都會造成總功耗變大S標志反向恢復過程中電流恢復速度的快慢(s越大表示電流恢復越慢),S值小時電感上感生電動勢太大會造成元件過壓而擊穿、電磁輻射公害等,在提高工作頻率時只有trr造成的功耗是正比于電路所用開關頻率而增大的,所以減小trr和Qrr尤其重要。但是減小trr和Qrr時不能影響到lR、VF和S。超快、超軟、超低漏電和超低壓降才是FRD迫求的全面目標。而恰恰由于物理原理上的內在聯系,用現有技術來減少trr時會造成其他性能的變劣。比如注入的少數載流子的濃度越高,器件的正向正降就越小,復合所用的時間就長,開關時間、開關損耗就越大;少數載流子的電導調制程度低一些可使開關時間和開關損耗降低,但通態壓降和通態功耗就增大了,對同一種技術制造的器件不能同時取得通態功耗與開關功耗的最小值,只能根據實際需求在二者之間取其折衷。
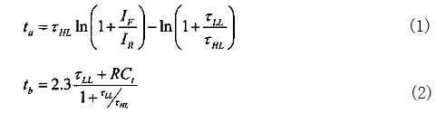
P-i-N二極管作為開關器件,其開關速度是非常重要的,也就是說反向恢復時間(trr)要很快,反向恢復時間就是正向導通時存儲于基區的電荷耗盡的時間,它是存儲時間和下降時間之和,trr=ta+tb,見1圖。存儲時間ta,見1式,是P+-i結邊緣少數載流子完全清除的時間,此期間二極管端電壓很低,甚至小于正向壓降,電壓主要降落在P+-i結上,但是流通的電流可能很大;下降時間tb(見2式)反映了基區剩余少數載流子耗盡或復合所用的時間,此期間P-i-N二極管兩個結均承受反壓。

式中:τLL、τHL分別為小注入、大注入水平下的載流子壽命
由1、2式可以看出ta、tb均和τLL/τHL有著密切的關系,ta和tb與基區寬度w及載流子壽命τ的關系如圖1。


在圖2中利用直線段將波形進行近似,反向恢復電荷可以表示為



由4、5兩式可以得到反向恢復時間trr和大水平注入壽命τHL及反向峰值電流密度Jrrm之間的關系,如6式。

壹芯微科技針對二極管作出了良好的性能測試,應用各大領域,如果您有遇到什么需要幫助解決的,可以點擊右邊的工程師,或者點擊銷售經理給您精準的報價以及產品介紹
工廠地址:安徽省六安市金寨產業園區
深圳辦事處地址:深圳市福田區寶華大廈A1428
中山辦事處地址:中山市古鎮長安燈飾配件城C棟11卡
杭州辦事處:杭州市西湖區文三西路118號杭州電子商務大廈6層B座
電話:13534146615
企業QQ:2881579535

深圳市壹芯微科技有限公司 版權所有 | 備案號:粵ICP備2020121154號