來源:壹芯微 發布日期
2021-09-30 瀏覽:-場效應管參數,MOS場效應管參數對照表 - 壹芯微
場效應管字母代表材料,D是P型硅,反型層是N溝道;C是N型硅P溝道。例如,3DJ6D是結型P溝道場效應三極管,3DO6C是絕緣柵型N溝道場效應三極管。下面是關于場效應管怎么看參數和場效應管參數對照表的詳細說明。
一、場效應管怎么看參數
1、K3878是場效應管,型號命名,有兩種命名方法。第一種命名方法與雙極型三極管相同,第三位字母J代表結型場效應管,O代表絕緣柵場效應管。
2、第二位字母代表材料,D是P型硅,反型層是N溝道;C是N型硅P溝道。例如,3DJ6D是結型P溝道場效應三極管,3DO6C是絕緣柵型N溝道場效應三極管。
3、第二種命名方法是CS××#,CS代表場效應管,××以數字代表型號的序號,#用字母代表同一型號中的不同規格。例如CS14A、CS45G等。

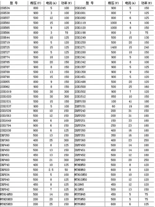
二、場效應管參數對照表

壹芯微致力于半導體器件、集成電路、功率器件的研發、生產與銷售,至今已有20年半導體行業研發、制造經驗。目前壹芯微產品已經在便攜性設備、電動車、LED照明、家電、鋰電保護、電機控制器等領域獲得廣泛應用,幫助合作伙伴解決符合國情、符合國際質量的國內優質產品。除提供免費試樣外,更可根據客戶需求進行量身定制二三極管MOS管產品。直接百度搜索“壹芯微”即可找到我們,免費試樣熱線:13534146615(微信同號) QQ:2881579535 或請咨詢官網在線客服。

工廠地址:安徽省六安市金寨產業園區
深圳辦事處地址:深圳市福田區寶華大廈A1428
中山辦事處地址:中山市古鎮長安燈飾配件城C棟11卡
杭州辦事處:杭州市西湖區文三西路118號杭州電子商務大廈6層B座
電話:13534146615
企業QQ:2881579535

深圳市壹芯微科技有限公司 版權所有 | 備案號:粵ICP備2020121154號