來源:壹芯微 發布日期
2021-05-09 瀏覽:-半波整流的相關知識詳解
半波整流是一種利用二極管的單向導通特性來進行整流的常見電路,除去半周、圖下半周的整流方法,叫半波整流。作用是將交流電轉換為直流電,也就是整流。

電路介紹
半波整流電路如圖所示。

它由電源變壓器Tr整流二極管D和負載電阻RL組成,變壓器的初級接交流電源,次級所感應的交流電壓為
其中U2m為次級電壓的峰值,U2為有效值。
電路的工作過程是:在u2 的正半周(ωt = 0~π),二極管因加正向偏壓而導通,有電流iL流過負載電阻RL。由于將二極管看作理想器件,故RL上的電壓 uL與u2的正半周電壓基本相同。
波形
在u2的負半周(ωt =π~2π),二極管D因加反向電壓而截止,RL 上無電流流過,RL 上的電壓uL = 0。可畫出整流波形如圖所示。
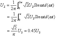
可見,由于二極管的單向導電作用,使流過負載電阻的電流為脈動電流,電壓也為一單向脈動電壓,其電壓的平均值(輸出直流分量)為


流過負載的平均電流為

流過二極管D的平均電流(即正向電流)為

加在二極管兩端的最高反向電壓為

特點及應用
半波整流電路簡單,元件少,但輸出電壓直流成分小(只有半個波),脈動程度大,整流效率低,僅適用于輸出電流小、允許脈動程度大、要求較低的場合。
壹芯微科技針對二三極管,MOS管作出了良好的性能測試,應用各大領域,如果您有遇到什么需要幫助解決的,可以點擊右邊的工程師,或者點擊銷售經理給您精準的報價以及產品介紹
工廠地址:安徽省六安市金寨產業園區
深圳辦事處地址:深圳市福田區寶華大廈A1428
中山辦事處地址:中山市古鎮長安燈飾配件城C棟11卡
杭州辦事處:杭州市西湖區文三西路118號杭州電子商務大廈6層B座
電話:13534146615
企業QQ:2881579535

深圳市壹芯微科技有限公司 版權所有 | 備案號:粵ICP備2020121154號