來源:壹芯微 發布日期
2023-05-20 瀏覽:-時間可調的給定積分器電路如何設計
如何設計時間可調的給定積分器電路?這樣處理積分電路更靈活。
給定積分器的作用:把用戶的給定階躍信號轉換為斜坡給定信號,減少給定突變引起的瞬間沖擊。
1 電路圖原理分析:
輸入信號為用戶可調電阻分壓信號,經過運算放大器IC1A放大后,經過電阻分壓網絡,輸入給運算放大器IC1B,信號經過電容C3進行累積后,經放大器輸出。
這個電路最主要的元器件是兩個運算放大器,要想分析清除電路的工作原理,必須把運算放大器的工作原理弄清楚。
1.1 運算放大器原理:
運算放大器是一種集成電路,功能是把輸入電壓信號放大N倍后輸出。
放大倍數(也叫增益):輸出電壓與輸入電壓的比值A。
運算放大器特點:高增益,高輸入電阻,低輸出電阻。
一個運算放大器元件通常包含兩個電源端,兩個輸入端,一個輸出端。電源端接直流偏置電壓,有的運放是單軌電源供電,比如0~5V供電,有的運放是雙軌電源供電,比如-5~+5V供電。
標記為負的一端稱為倒向輸入端,也叫反向輸入端。當輸入電壓U加在負端與公共端之間時,輸出電壓Uo等于-U,符號與輸入電壓U相反。
標記為正的一端稱為非倒向輸入端,也叫同向輸入端。當輸入電壓U加在正端與公共端之間時,輸出電壓Uo等于U,符號與輸入電壓U相同。
如果正端和負端分別輸入電壓U1,U2時,設正負端輸入電壓差值為Ud=U1-U2,則輸出電壓Uo=AUd。把Ud稱為差動輸入電壓。
當U1=0,則Ud=-U2,Uo=-AU2。當U2=0,則Ud=U1,Uo=AU1。
運放輸出電壓Uo與差動輸入電壓Ud之間的關系可用上圖描述,在Ud很小的范圍內(-ε, ε),Uo與Ud之間呈現線性關系,斜率為放大倍數A,由于A非常大,使得曲線斜率很陡峭,Ud的線性范圍非常小。隨著Ud的增大,輸出電壓Uo區域飽和電壓Us。
因此,在運放的線性范圍內,Rin=∞,Ro=0,A=∞,運放的差壓輸入值Ud≈0,則同向端和倒向端電壓基本相等。
由此獲得運放兩條非常重要性質:
1 虛短:同向端和倒向端電壓相等;
2 虛斷:倒向端和非倒向端輸入電流為零;
有了運放的基本性質,就可以對電路圖進行分析了。
1.2 電路原理分析
分析第一個運放IC1A。該運放的同向輸入端通過電阻R3接給定電壓信號和電阻R5接積分輸出反饋信號。倒向輸入端通過電阻R4接公共端地。根據運放基本性質,輸入端虛短,同向輸入端無電流流過,則給定電壓Ug與積分反饋電壓Ui之間的電壓差,必定在同向輸入端產生電壓信號Ud,而倒向輸入端電壓為0,則當電壓Ud>0時,運放輸出飽和導通電壓Us,當電壓Ud<0時,運放輸出飽和導通電壓-Us。
分析IC1A運放輸出參數配置:當運放IC1A輸出Us時,通常Us略低于供電電源電壓+5V,當運放IC1A輸出-Us時,通常-Us略低于供電電源電壓-5V,
當運放輸出電壓大于公共端電壓時,二極管D2導通,配置不同的R8,R9值,可選擇不同的積分電容充電時間常數,當運放輸出電壓小于公共端電壓時,二極管D1導通,配置不同的R6,R7值,可選擇不同的積分電容放電時間常數。
兩個二極管的作用是對電容C3的充電和放電積分時間參數進行選擇,使得積分具有不同的上升時間和下降時間。
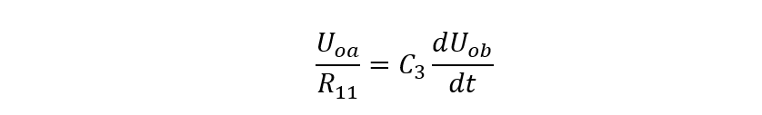
分析運放IC1B,運放倒向輸入端通過R11電阻輸入,倒向輸入端與運放輸出端通過電容C3相連接。輸出端通過電阻R3接電容C4用于信號濾波。
根據運放虛短基本特性,可知運放的倒向輸入端與同向輸入端電壓相等,同向輸入端電壓為公共端電壓0V,因此,倒向輸入端電壓為0V。
根據運放虛斷基本特性,R11輸入電流完全流入電容C3,不經過運放倒向輸入端,當R11流入正向電流時,C3電容被充電,運放輸出電壓反向升高或正向下降,反之,當R11流入反向電流時,C3電容被放電,運放輸出電壓正向升高或反向下降,
2 電路參數計算:
2.1 計算運放IC1A輸出電壓:
設運放倒向輸入端電壓為U1,則當輸入電壓Ug與積分電路輸出電壓Uob不相等時,可計算U1電壓:
當U1>0時,計算此時的Ug與Uob之間的關系:
此時運放IC1A同向輸入端電壓大于0,倒向輸入端電壓等于0,差動輸入電壓Ud>0,輸出電壓為Us≈5V,反之,差動輸入電壓Ud<0,輸出電壓為Us≈-5V。
2.2 計算積分時間參數:
假設運放IC1A輸出電壓為5V,則計算Uoa值:
此時二極管D2導通,假設二極管壓降為0.7V,則R9電壓為Uoa-0.7V。
對電路列寫KCL電流平衡方程:
計算Uoa值:
選擇不同的R8,R9可獲得不同的Uoa值,對應著不同的電容C3充電電流。
當運放輸出電壓為-5V時,同樣可計算出小于0的Uoa值。
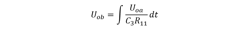
2.3 計算積分輸出電壓:
利用運放的虛短、虛斷性質,R11流入的電流等于電容C3流入的電流。
由此,獲得運放輸出電壓Uob:
3 結論:
當Uob輸出值與Ug滿足下列等式時:
運放IC1A差動輸入電壓Ud=0,此時運放輸出電壓為0,則Uoa等于0,積分電路輸出電壓保持當前的Uob值,否則,必然造成積分電路的正向或反向積分。
因此,此給定積分器是具有負反饋功能的電壓積分給定器,積分器輸出電壓Uob與輸入電壓Ug之間保持固定的比例關系。
壹芯微科技專注于“二,三極管、MOS(場效應管)、橋堆”研發、生產與銷售,20年行業經驗,擁有先進全自動化雙軌封裝生產線、高速檢測設備等,研發技術、芯片源自臺灣,專業生產流程管理及工程團隊,保障所生產每一批物料質量穩定和更長久的使用壽命,實現高度自動化生產,大幅降低人工成本,促進更好的性價比優勢!選擇壹芯微,還可為客戶提供參數選型替代,送樣測試,技術支持,售后服務等,如需了解更多詳情或最新報價,歡迎咨詢官網在線客服!
手機號/微信:13534146615
QQ:2881579535
工廠地址:安徽省六安市金寨產業園區
深圳辦事處地址:深圳市福田區寶華大廈A1428
中山辦事處地址:中山市古鎮長安燈飾配件城C棟11卡
杭州辦事處:杭州市西湖區文三西路118號杭州電子商務大廈6層B座
電話:13534146615
企業QQ:2881579535

深圳市壹芯微科技有限公司 版權所有 | 備案號:粵ICP備2020121154號