來源:壹芯微 發布日期
2023-11-22 瀏覽:-如何計算MOS管導通損耗
MOS 管計算導通損耗時,應該用平均電流IAVG還是用電流有效IRMS值呢?
先定義下相關參數,以便于后續的計算.
IO -------------輸出電流
IH-AVG-----------上MOS 管平均電流
IL-AVG ---------下MOS 管平均電流
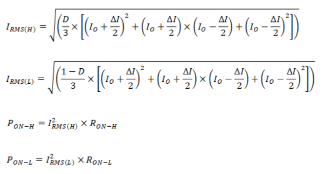
IRMS(H) --------上MOS 管電流有效值
IRMS(L) -----------下MOS 管電流有效值
D ------------------上MOS 管占空比
ΔI --------------電感紋波電流
RON-H ---------上MOS 管導通電阻
RON-L ---------下MOS 管導通電阻
PON-H ---------上MOS 管導通損耗
PON-L ---------下MOS 管導通損耗
計算方法1: 基于平均電流
計算方法2: 基于電流有效值
下面是關于有效值和平均值的對比數據,可以直觀的看出有效值比平均值大出很多.
所以兩種方法計算出來的導通損耗也會差別很大,那么哪種方式是正確的呢?


MOS 管導通時,等效為一個電阻RDS(ON), 計算損耗時是通過積分來計算的,應該用有效值來計算。


由此可見,I 為有效值的計算公式, 所以計算時應用電流有效值來計算MOS管的導通損耗.
那么什么時候可以用平均電流來計算損耗呢?
其實輸出整流二極管,MOS體二極管的導通損耗,則是用均值來計算的.
壹芯微科技專注于“二,三極管、MOS(場效應管)、橋堆”研發、生產與銷售,21年行業經驗,擁有先進全自動化雙軌封裝生產線、高速檢測設備等,研發技術、芯片源自臺灣,專業生產流程管理及工程團隊,保障所生產每一批物料質量穩定和更長久的使用壽命,實現高度自動化生產,大幅降低人工成本,促進更好的性價比優勢!選擇壹芯微,還可為客戶提供參數選型替代,送樣測試,技術支持,售后服務等,如需了解更多詳情或最新報價,歡迎咨詢官網在線客服!
手機號/微信:13534146615
QQ:2881579535
工廠地址:安徽省六安市金寨產業園區
深圳辦事處地址:深圳市福田區寶華大廈A1428
中山辦事處地址:中山市古鎮長安燈飾配件城C棟11卡
杭州辦事處:杭州市西湖區文三西路118號杭州電子商務大廈6層B座
電話:13534146615
企業QQ:2881579535

深圳市壹芯微科技有限公司 版權所有 | 備案號:粵ICP備2020121154號