來源:壹芯微 發布日期
2023-07-06 瀏覽:-開關電源的開關損耗怎么準確測量
一個高質量的開關電源效率高達95%,而開關電源的損耗大部分來自開關器件(MOSFET和二極管),所以正確的測量開關器件的損耗,對于效率分析是非常關鍵的。那該如何準確測量開關損耗呢?
開關損耗
由于開關管是非理想型器件,其工作過程可劃分為四種狀態,如圖1所示。“導通狀態”表示開關管處于導通狀態;“關閉狀態”表示開關管處于關閉狀態;“導通過程”是指開關管從關閉轉換成導通狀態;“關閉過程”指開關管從導通轉換成關閉狀態。一般來說,主要的能量損耗體現在“導通過程”和“關閉過程”,小部分能量體現在“導通狀態”,而“關閉狀態”的損耗很小幾乎為0,可以忽略不計。
圖1 開關管四種狀態劃分
實際的測量波形圖一般如圖2所示。
圖2 開關管實際功率損耗測試
導通過程損耗
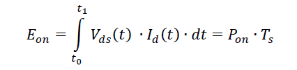
晶體管開關電路在轉換過程中消耗的能量通常會很大,因為電路寄生信號會阻止設備立即開關,該狀態的電壓與電流處于交變的狀態,因此很難直接計算功耗,以往的做法,將電壓與電流認為是線性的,這樣可以通過求三角形的面積來粗略計算損耗,但這是不夠準確的。對于數字示波器來說,通過都會提供高級數學運算功能,因此可以使用下面的公式計算導通過程的損耗。
Eon表示導通過程的損耗能量;
Pon表示導通過程的平均損耗功率(有功功率);
Vds、Id分別表示瞬時電壓和電流;
Ts表示開關周期;
t0、t1表示導通過程的開始時間與結束時間。
關閉過程損耗
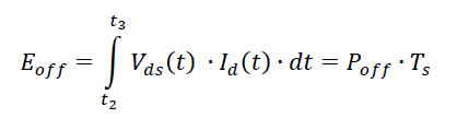
關閉過程損耗與導通過程損耗計算方法相同,區別是積分的開始與結束時間不同。
Eoff表示關閉過程的損耗能量;
Poff表示關閉過程的平均損耗功率(有功功率);
Vds、Id分別表示瞬時電壓和電流;
Ts表示開關周期;
t2、t3表示關閉過程的開始時間與結束時間。
導通損耗
導通狀態下,開關管通常會流過很大的電流,但開關管的導通電阻很小,通常是毫歐級別,所以導通狀態下損耗能量相對來說是比較少的,但亦不能忽略。使用示波器測量導通損耗,不建議使用電壓乘電流的積分的來計算,因為示波器無法準確測量導通時微小電壓。舉個例子,開關管通常關閉時電壓為500V,導通時為100mV,假設示波器的精度為±1‰(這是個非常牛的指標),最小測量精度為±500mV,要準確測量100mV是不可能的,甚至有可能測出來的電壓是負的(100mV-500mV)。
由于導通時的微小電壓,無法準確測量,所以使用電壓乘電流的積分的方法計算的能量損耗誤差會很大。相反,導通時電流是很大的,所以能測量準確,因此可以使用電流與導通電阻來計算損耗,如下面公式:
Econd表示導通狀態的損耗能量;
Pcond表示導通狀態的平均損耗功率(有功功率);
Id分別表示瞬時電流;
Rds(on)表示開關管的導通電阻,在開關管會給出該指標,如圖2所示;
Ts表示開關周期;
t1、t2表示導通狀態的開始時間與結束時間。
圖3 導通電阻與電流的關系
開關損耗
開關損耗指的是總體的能量損耗,由導通過程損耗、關閉過程損耗、導通損耗組成,使用下面公式計算:
開關損耗分析插件
高端示波器通常亦集成了開關損耗分析插件,由于導通狀態電壓測量不準確,所以導通狀態的計算公式是可以修改的,主要有三種:
UI,U和I均為測量值;
I²R,I為測量值,R為導通電阻,由用戶輸入Rds(on);
UceI,I為測量值,Uce為用戶輸入的電壓值,用于彌補電壓電壓測不準的問題。
一般建議使用I²R的公式,下圖是ZDS4000 Plus的開關損耗測試圖。
圖4 開關損耗測試結果圖
總結
開關損耗測試對于器件評估非常關鍵,通過專業的電源分析插件,可以快速有效的對器件的功率損耗進行評估,相對于手動分析來說,更加簡單方便。對于MOSFET來說,I²R的導通損耗計算公式是最好的選擇。
壹芯微科技專注于“二,三極管、MOS(場效應管)、橋堆”研發、生產與銷售,21年行業經驗,擁有先進全自動化雙軌封裝生產線、高速檢測設備等,研發技術、芯片源自臺灣,專業生產流程管理及工程團隊,保障所生產每一批物料質量穩定和更長久的使用壽命,實現高度自動化生產,大幅降低人工成本,促進更好的性價比優勢!選擇壹芯微,還可為客戶提供參數選型替代,送樣測試,技術支持,售后服務等,如需了解更多詳情或最新報價,歡迎咨詢官網在線客服!
手機號/微信:13534146615
QQ:2881579535
工廠地址:安徽省六安市金寨產業園區
深圳辦事處地址:深圳市福田區寶華大廈A1428
中山辦事處地址:中山市古鎮長安燈飾配件城C棟11卡
杭州辦事處:杭州市西湖區文三西路118號杭州電子商務大廈6層B座
電話:13534146615
企業QQ:2881579535

深圳市壹芯微科技有限公司 版權所有 | 備案號:粵ICP備2020121154號