來源:壹芯微 發布日期
2023-03-12 瀏覽:-1.反相比例運放
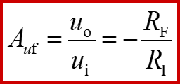
反相比例電路
反相計算公式
注:uo與 ui 極性相反,因為 ui 加在反相輸入端;
R2作為靜態平衡電阻,需滿足R2 = R1 // RF。
2.同相比例運放
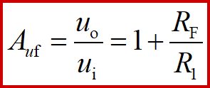
同相比例電路
同相計算公式
注:uo與 ui 極性相同,因為ui 加在同相輸入端;
放大倍數只能大于1。
3.電壓跟隨器
同相比例運放電路的變種,放大倍數=1時。
電壓跟隨器
R1=無窮大 且 RF = 0 時,uo = ui。
作用:隔離;緩沖;阻抗匹配。
4.減法運算電路(差動比例)
差動比例運放電路
差動比率電路公式
常用以下情形:
(1)若 R1 = R2 ,R3 = RF,則:
情形(1)計算公式
(2)若 R1 = R2 = R3 = RF,則:
情形(2)計算公式
以上為常用的運放電路。
5.公式推導原則
集成運放輸入端的“虛短”和“虛斷”。
虛短:相當于兩輸入端之間短路, 但又未真正短路,故稱 “虛短路” 。
虛短
虛斷:相當于兩輸入端之間斷路,但又未真正斷路,故稱 “虛斷路”。
虛斷
6.實際應用
實際應用中,為保證精度,反饋電阻RF常選用精密電阻;
有時,為了保證放大倍數,也可以選用電位計(滑動變阻器),通過滑動阻值,實現放大倍數需求。但確定阻值后需要點膠固定,環境惡劣的振動條件下無法保證阻值可靠性,所以,多數將滑動變阻器定義為禁限用元器件。
壹芯微科技專注于“二,三極管、MOS(場效應管)、橋堆”研發、生產與銷售,20年行業經驗,擁有先進全自動化雙軌封裝生產線、高速檢測設備等,研發技術、芯片源自臺灣,專業生產流程管理及工程團隊,保障所生產每一批物料質量穩定和更長久的使用壽命,實現高度自動化生產,大幅降低人工成本,促進更好的性價比優勢!選擇壹芯微,還可為客戶提供參數選型替代,送樣測試,技術支持,售后服務等,如需了解更多詳情或最新報價,歡迎咨詢官網在線客服!
手機號/微信:13534146615
QQ:2881579535
工廠地址:安徽省六安市金寨產業園區
深圳辦事處地址:深圳市福田區寶華大廈A1428
中山辦事處地址:中山市古鎮長安燈飾配件城C棟11卡
杭州辦事處:杭州市西湖區文三西路118號杭州電子商務大廈6層B座
電話:13534146615
企業QQ:2881579535

深圳市壹芯微科技有限公司 版權所有 | 備案號:粵ICP備2020121154號