來源:壹芯微 發布日期
2022-08-30 瀏覽:-電源分布網絡從字面上就很好理解,就是電流從供電端到用電端的一些路徑網絡。一個芯片需要工作,就需要有電源來提供電流。而電源與用電電路之間就必然存在電源的傳輸網絡。就像供電站需要通過電線將電能傳輸到各家各戶一樣。
既然存在傳輸,就存在傳輸損耗。根據歐姆定律我們知道當電流流過導體,在導體兩端就會產生壓降。所以當電流流經電源傳輸網絡,就會在供電端與用電端產生壓降。比如需要使用10A的電流,電源傳輸網絡的阻抗為1毫歐,那么供電端與用電端的壓降就為10mV。這個問題看起來很簡單,但是我們需要面對2個不簡單的事情。1是用電端的電流需要是隨著時間變化的,2是電源傳輸網絡的阻抗也不是一個常數,由于趨膚效應,寄生電感,寄生電容等因素使得電源傳輸網絡對不要頻率的信號顯示出不同的阻抗。
電流需要是隨時間變化而變化的
要解釋問題,我們有必要先了解一些數字電路的基本知識(這里我們只對CMOS數字電路進行分析,其它電路也有類似的問題)。
MOSFET場效應管
在了解數字電路前,有必要先了解一下數字電路的基本組長單元:MOSFET場效應管。MOSFET的全稱是The metal-oxide-semiconductor field-effect transistor,即金屬-氧化層半導體場效應管。它對于數字電路來說,主要起了一個開關的作用。它主要的優勢是生產工藝很簡單,使得我們可以以很經濟的方式生產大規模的復雜電路。
一個NMOS的基本結構下圖所示,場效應管MOSFET是一個四端口器件,包括一個p型的襯底,以及兩個n+型擴散區域源極source(S)和漏極drain(D),另外在源極與漏極之間的襯底表明覆蓋一層薄氧化層,在該薄氧化層上沉淀形成的柵極gate(G)。
NMOS管的工作原理是,柵極與p型襯底由薄的氧化層隔開,從而形成一個電容。而源極,p型襯底以及漏極則由2個pn(S-B以及D-B)結形成背對背的二極管,從而源極與漏極之間實現了絕緣。當有一個比較小的正電壓施加到柵極時,電子開始向柵極方向累積,同時電場作用下,空穴開始朝襯底方向移動。當柵極電壓超過一定的電壓閾值Vt之后,便在襯底表面形成一個由大量電子組成的n型的導電溝道,如下圖所示:
在導電溝道形成以后,一旦有電壓施加到漏極與源極之間,電子通過導電溝道進行運動,就在源極與漏極之間形成了電流的流動,如下圖所示。
如下圖所示,隨著V_{GS}的增大,溝道開始逐步形成,當V_{GS}大于某個閾值電壓V_{t}以后,溝道連通源極與漏極,開始有電流從源極流向漏極,隨著V_{GS}的持續增加,電流也不斷增加。
PMOS與NMOS恰巧相反,采用n型襯底,源極及漏極為p+型擴散區。也就是說在V_{GS}為0時,源極與漏極之間存在導電溝道,隨著V_{GS}增加,導電溝道會變窄,最終當V_{GS}大于某個閾值電壓V_{t}時,溝道正式關閉。
CMOS反相器
如果單獨使用NMOS或者PMOS,電路存在比較大的靜態電流。于是出現了CMOS電路。如下圖a所示就是一個CMOS的示意圖。是由一個PMOS場效應管的漏極與一個NMOS場效應管的源極連接在一起組成。
我們知道,對于NMOS管來說,關斷電阻為無窮大,導通電阻比較小。這樣當V_in為高電平或者等于VDD的時候,NMOS就被導通,同時PMOS關斷。這時的等效電路如上圖b。輸出V_out和ground結點之間有一個直接的通道,導致輸出處于一個穩定的0V。當輸入為低電平(0V),NMOS關斷,PMOS導通,等效電路如上圖c,這時輸出V_out與V_DD之間存在一個直接通道,所以輸出為高。最終電路表現出一個反相器的功能。
我們可以通過這個交換器模型看到靜態CMOS電路具有如下屬性:
高電平為VDD,低電平為GND,也就是說電壓的擺幅等于電源電壓,這樣就會有比較大的噪聲容限;
邏輯電平與器件的面積沒有關系,這樣場效應晶體管可以盡可能的使用比較小的面積。
在穩定狀態下,輸出$V_{out}$與電源$V_{DD}$或者GND之間存在一個有限阻抗的直流通道。通常情況下,一個良好設計的CMOS反相器,輸出阻抗都會比較低。
CMOS反相器的輸入阻抗一般情況下都非常高,也相當于絕緣,幾乎沒有什么直流電流消耗。因為輸入時連接到晶體管的柵極,靜態情況下,輸出電流幾乎為0.這樣,理想情況下,一個反相器可以驅動無數個柵極(也就是說可以有無限的扇出),同時還能保證功能正常。當然,輸出扇出增加也會增加延遲,影響晶體管的響應特性。
在穩態狀況下,電源和地之間不存在通路,這也導致在穩態情況下,幾乎沒有電流的流動,晶體管也就沒有任何的靜態功耗。
CMOS電路的動態特性
前面分析了穩態是CMOS電流的一些特性,那么我們看看當CMOS電路運行的時候,流經CMOS器件的電流情況。分析CMOS電路的動態特性時,我們就必須考慮CMOS器件的繼承電容。如圖所示,顯示了兩個CMOS反相器的級聯,每一個MOSFET均有寄生電容, 包括:
C_{gd}和C_{gs}: 由柵極和源極與漏極重疊產生的柵源電容以及柵漏電容。
C_{db}和C_{sb}: 漏極與襯底和源極與襯底之間形成的與電壓有關的結電容。
C_g: 由柵極下面的薄氧化而形成的柵電容。
C_int: 兩個CMOS反相器之間連線的寄生電容。
即使是對于這個很簡單的電路來說,分析這個輸出波形也是相當的復雜,因為這里面有很多非線性的電壓相關的電容。為了簡化問題,我們將s圖中的電容轉化為一個集總的線性電容,連接到輸出結點和地之間,如下圖所示:
其中C_{load}定義如下:
Cload = C(gd,n) + C(gd,p) + C(db,n) + C(db,p) + Cint + Cg
注意: 有一些寄生電容沒有包含在上圖中,因為兩個CMOS反相器的源-襯底的電壓始終為0, 電容C_{sb,n}和C_{sb.p}也為0.電容C_{gs.n}和C_{gs.p}因為連見到輸出結點和地(電源)之間,而沒有包含進來。
使用上圖,使得問題簡化為分析一個CMOS反相器對一個電容進行充電和放電的動作。當輸出為0時,PMOS打開,NMOS關閉。電源通過PMOS對輸出電容進行充電,最終達到穩態。負載電容兩端電壓等于電源電壓V_{DD}。當輸入電壓提升,PMOS的溝道減小,但是PMOS的漏極與源極電壓均為V_{DD},沒有電流流過PMOS管。假設NMOS和PMOS的閾值電壓V_{t}均為1/2(V_{DD}),當輸入電壓達到1/2(V_{DD}),NMOS打開,同時PMOS關閉。負載電容通過NMOS對地放電。此時會有電流流過地平面,使得芯片內地平面抬升。
同時我們分析當輸入信號由高電平轉換到低電平時的情況。當輸入為高電平,NMOS管打開,PMOS管關閉,輸出為低。輸入電壓持續降低,當輸入電壓低于1/2(V_{DD}),PMOS打開,NMOS關閉。V_{DD}開始通過PMOS對輸出負載電容進行充電。此時有電流從電源流進用電芯片。下圖顯示了CMOS電路在動態情況下電壓變化情況。
而實際的情況比上圖顯示的還要糟糕。因為導電溝道的變化是一個連續的漸進過程,NMOS和PMOS并不是理想開關,在實際過程中會存在階段,PMOS和NMOS同時打開,這是V_{DD}與GND之間形成一個直接的導電通道。好的一點時,此時NMOS與PMOS的導電溝道寬度都很小,使得此時的電流并不是無限大。一個實際CMOS電路的電壓圖如下圖所示。
所以我們可以看到CMOS電路消耗的電流是隨著時間的變化而變化的。
電源傳輸網絡阻抗隨頻率變化而變化
前面提到電源傳輸網絡或存在一些寄生的電感和電容,甚至有些設計中,設計人員會人為的添加一些去耦電容,這些電感和電容使得電源傳輸網絡表現出針對不同頻率信號有著不同的阻抗。為了能夠更好的理解這種特性,我們有必要了解一下集總電路的分析方法。這里先使用集總分析方法來看一個是串行諧振電路和一個是并行諧振電路。
串行諧振電路
串行諧振電路定義為一個電容和一個電感串聯的電路,具體電路如下圖所示。
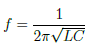
當XC(容抗)和XL(感抗)的幅度相同,相位相反時,電流為最大,也就是在這種情況下阻抗最小。這種情況發生的頻率為串行諧振頻率,串行諧振頻率可以由如下公式獲得:
電路的頻域阻抗曲線如下圖所示。
并行諧振電路
并行諧振電路是由一個電容和一個電感并行連接而成, 具體電路如下圖所示:
當XC(容抗)和XL(感抗)的幅度相同而相位相反,則可以通過最小的電流,也就是說阻抗最大,這時的頻率稱之為并行諧振電路。諧振頻率由如下公式得到:
電路的頻域阻抗曲線如下圖所示。
通過對以上2種電路的分析,我們知道電源分布網絡表現的阻抗相對于頻率來說不再是一個常數,而是一個隨著頻率變化而變化的阻抗值。加上芯片對電流的需求是隨著時間變化的,最終用電芯片得到的電壓也將是一個隨著時間而變化的電壓。我們通常稱這些變化的電壓成份為電壓噪聲。接下來我們會詳細了解電源傳輸網絡的各個組成部分,然后對電源傳輸網絡進行建模。
壹芯微科技專注于“二,三極管、MOS(場效應管)、橋堆”研發、生產與銷售,20年行業經驗,擁有先進全自動化雙軌封裝生產線、高速檢測設備等,研發技術、芯片源自臺灣,專業生產流程管理及工程團隊,保障所生產每一批物料質量穩定和更長久的使用壽命,實現高度自動化生產,大幅降低人工成本,促進更好的性價比優勢!選擇壹芯微,還可為客戶提供參數選型替代,送樣測試,技術支持,售后服務等,如需了解更多詳情或最新報價,歡迎咨詢官網在線客服!
手機號/微信:13534146615
QQ:2881579535
工廠地址:安徽省六安市金寨產業園區
深圳辦事處地址:深圳市福田區寶華大廈A1428
中山辦事處地址:中山市古鎮長安燈飾配件城C棟11卡
杭州辦事處:杭州市西湖區文三西路118號杭州電子商務大廈6層B座
電話:13534146615
企業QQ:2881579535

深圳市壹芯微科技有限公司 版權所有 | 備案號:粵ICP備2020121154號