來源:壹芯微 發布日期
2023-03-09 瀏覽:-計算過程其實歸根結底還是根據運放的虛短和虛斷。
【虛短】
虛短指在理想情況下,兩個輸入端的電位相等,就好像兩個輸入端短接在一起,但事實上并沒有短接,稱為“虛短”。虛短的必要條件是運放引入深度負反饋。
【虛斷】
虛斷指在理想情況下,流入集成運算放大器輸入端電流為零。這是由于理想運算放大器的輸入電阻無限大,就好像運放兩個輸入端之間開路。但事實上并沒有開路,稱為“虛斷”。
話不多說直接上圖。
差分運放的電阻有個特點:
R1=R5,R2=R4
一般的計算方法如下:
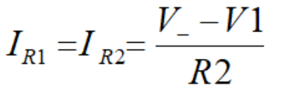
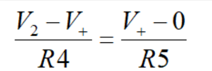
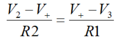
根據虛斷,即流入運算放大器輸入端電流為零,如下圖,簡單的理解為兩個電阻R4,R5分壓。
可得:
根據虛短,即運放兩個輸入端近似短路,可得:
......①
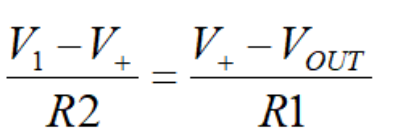
又
......②
.......③
......④
整理②③④得:
......⑤
將①帶入⑤中,最終化簡得:
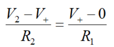
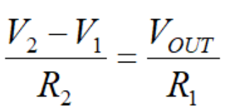
其實還有一種簡單的計算方法:
......⑥
......⑦
由于R1=R5,R2=R4
所以將上式⑥改為:
......⑧
⑧-⑦得:
化簡得
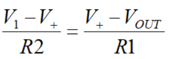
如果我們要給運放加一個直流偏置可以怎么做呢,加在哪里?加多大比較合適呢?如下圖
我們還是再來一起計算一下:
......⑨
......⑩
⑨-⑩化簡得:
壹芯微科技專注于“二,三極管、MOS(場效應管)、橋堆”研發、生產與銷售,20年行業經驗,擁有先進全自動化雙軌封裝生產線、高速檢測設備等,研發技術、芯片源自臺灣,專業生產流程管理及工程團隊,保障所生產每一批物料質量穩定和更長久的使用壽命,實現高度自動化生產,大幅降低人工成本,促進更好的性價比優勢!選擇壹芯微,還可為客戶提供參數選型替代,送樣測試,技術支持,售后服務等,如需了解更多詳情或最新報價,歡迎咨詢官網在線客服!
手機號/微信:13534146615
QQ:2881579535
工廠地址:安徽省六安市金寨產業園區
深圳辦事處地址:深圳市福田區寶華大廈A1428
中山辦事處地址:中山市古鎮長安燈飾配件城C棟11卡
杭州辦事處:杭州市西湖區文三西路118號杭州電子商務大廈6層B座
電話:13534146615
企業QQ:2881579535

深圳市壹芯微科技有限公司 版權所有 | 備案號:粵ICP備2020121154號